

Hãy luôn nhớ cảm ơn và vote 5*
nếu câu trả lời hữu ích nhé!
Đáp án`+`Giải thích các bước giải:
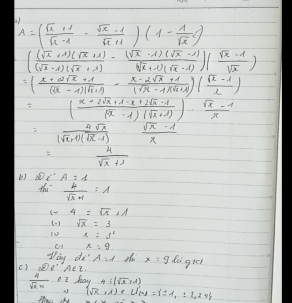
`a,` Với `x > 0,x \ne 1` thì
Ta có: `A = ((\sqrt{x} + 1)/(\sqrt{x} - 1) - (\sqrt{x} - 1)/(\sqrt{x} + 1))(1 - 1/(\sqrt{x}))`
`=> A = ((\sqrt{x} + 1)^2 - (\sqrt{x} - 1)^2)/((\sqrt{x} -1)(\sqrt{x} + 1)) (\sqrt{x} - 1)/(\sqrt{x})`
`=> A = (x + 2\sqrt{x} + 1 - x +2\sqrt{x} - 1)/(\sqrt{x} + 1) . 1/(\sqrt{x})`
`=> A = (4\sqrt{x})/(\sqrt{x} + 1) . 1/(\sqrt{x})`
`=> A = 4/(\sqrt{x} + 1)`
vậy `A= 4/(\sqrt{x} + 1)` với `x > 0,x \ne 1`
`b,` Để `A = 1` thì
`4/(\sqrt{x}+1) = 1`
`=> \sqrt{x} + 1 = 4`
`<=> \sqrt{x} = 3`
`<=> x = 9` (tm)
Vậy `x= 9 ` thì `A = 1`
`c,` Để `A` nhận giá trị nguyên thì
`4 \vdots \sqrt{x} + 1`
`=> \sqrt{x} +1 \in Ư(4)`
Mà `\sqrt{x} +1 > 1 AAx > 0,x \ne 1`
`=> \sqrt{x} + 1 \in {2;4}`
`=> \sqrt{x} \in {1;3}`
`=> x \in {1;9}`
Kết hợp với điều kiện ta đc:
`x= 9`
Vậy `x = 9` thì `A` nhận giá trị nguyên
`@`duong612009
Hãy giúp mọi người biết câu trả lời này thế nào?
Đáp án:
đây ạ
Giải thích các bước giải:
cso chỗ nào mà k hiểu thì hỏi lại nh mik bt các bạn chưa hiểu chỗ nào nên k gt trc
Hãy giúp mọi người biết câu trả lời này thế nào?
Bảng tin