

Câu 5:Một vật sáng nhỏ có dạng đoạn thẳng AB đặt vuông góc với trục chính của một thấu kính.
a,Thấu kính đó là thấu kính gì? Vì sao?
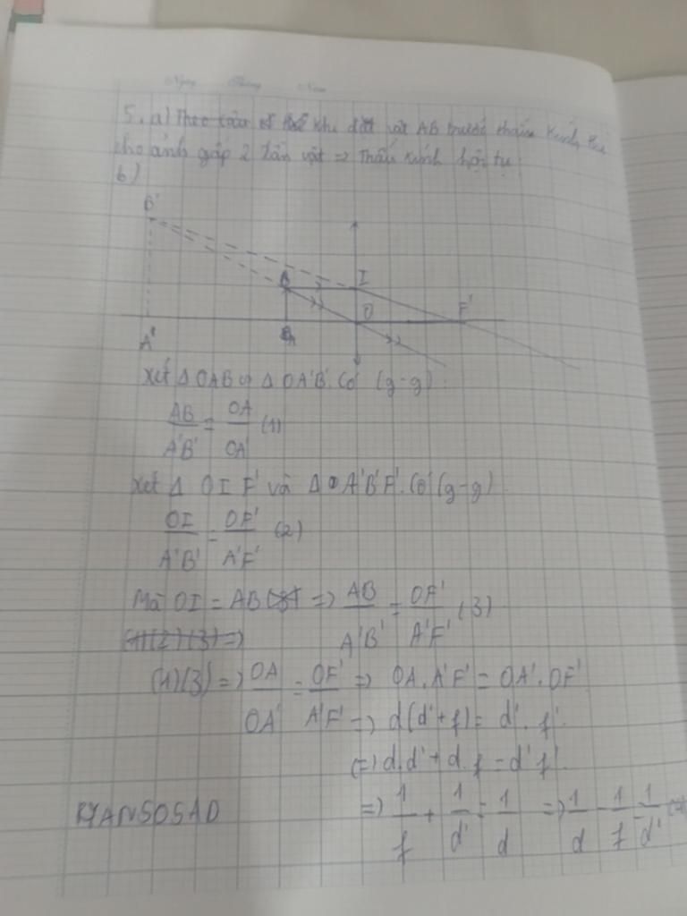
b,Gọi d là khoảng cách vật đến thấu kính, d' là khoảng cách từ ảnh đến thấy kính, f là tiêu cự của thấu kính. hãy vẽ ảnh của vậy qua thấu kính và chứng minh côn thức 1/d+1/d'=1/f.
c,Vật sáng AB đặt cách thấu kính 30cm, qua thấu kính cho ảnh A'B' lớn gấp 2 lần vật. Tìm tiêu cự thấu kính.
d, Với tiêu cự thấu kính tìm được ở câu c. Xác định vị trí ảnh, tính chất ảnh và độ lớn của ảnh kho đặt vật cách thấu kính 40cm.
Em cần gấp ạ
Hãy luôn nhớ cảm ơn và vote 5*
nếu câu trả lời hữu ích nhé!
Bảng tin