

Hãy luôn nhớ cảm ơn và vote 5*
nếu câu trả lời hữu ích nhé!
Đáp án+Giải thích các bước giải:
Câu `21:`
`a)(5x-3)/(x)+(4x+3)/(x)(x\ne0)`
`=(5x-3+4x+3)/(x)`
`=(9x)/(x)`
`=9`
`b)(3x)/(x+4)-(2)/(4-x)-(3x^{2}-32)/(x^{2}-16)`
`( đ k : x\ne\pm4)`
`=(3x.(x-4))/((x-4).(x+4))+(2.(x+4))/((x-4).(x+4))-(3x^{2}-32)/((x-4).(x+4))`
`=(3x^{2}-12x+2x+8-3x^{2}+32)/((x-4).(x+4))`
`=(-10x+40)/((x-4).(x+4))`
`=(-10.(x-4))/((x-4).(x+4))`
`=-(10)/(x+4)`
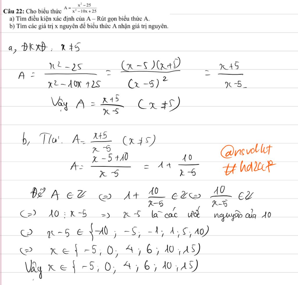
Câu `22:`
`a)` Để `A` xác định khi và chỉ khi:
`x^{2}-10x+25\ne0`
`x^{2}-2.x.5+5^{2}\ne0`
`(x-5)^{2}\ne0`
`x-5\ne0`
`x\ne5`
Rút gọn `A:`
`A=(x^{2}-25)/(x^{2}-10x+25)(đ k : x\ne5)`
`=(x^{2}-5^{2})/(x^{2}-2.x.5+5^{2})`
`=((x-5).(x+5))/((x-5)^{2})`
`=(x+5)/(x-5)`
Vậy `A=(x+5)/(x-5)` với `x\ne5`
`b)` Ta có: `A=(x+5)/(x-5)=(x-5+10)/(x-5)=1+(10)/(x-5)(đ k : x\inZZ;x\ne5)`
Để `A\inZZ->(10)/(x-5)\inZZ`
`->(x-5)\in Ư(10)={\pm1;\pm2;\pm5;\pm10}`
`+)TH1: x-5=-1->x=4(tmđk);`
`+)TH2: x-5=1->x=6(tmđk);`
`+)TH3: x-5=-2->x=3(tmđk);`
`+)TH4:x-5=2->x=7(tmđk);`
`+)TH5: x-5=5->x=10(tmđk);`
`+)TH6: x-5=-5->x=0(tmđk);`
`+)TH7: x-5=10->x=15(tmđk);`
`+)TH8: x-5=-10->x=-5(tmđk)`
Vậy `x\in{4;6;3;7;10;0;15;-5}` để `A\inZZ`
Hãy giúp mọi người biết câu trả lời này thế nào?
![]()
Bảng tin