

Hãy luôn nhớ cảm ơn và vote 5*
nếu câu trả lời hữu ích nhé!
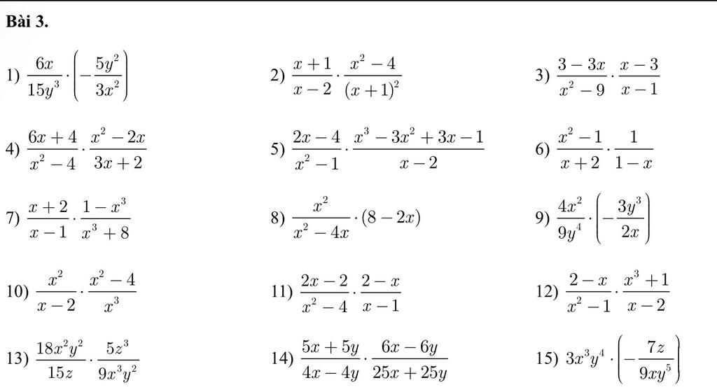
Đáp án:Em làm ý 2 và ý 3 ạ:
2, $\frac{x+1}{x-2}$ · $\frac{x^2-4}{(x+1)^2}$
= $\frac{x+1}{x-2}$ · $\frac{(x-2).(x+2)}{(x+1)^2}$
= $\frac{x+2}{x+1}$
3, $\frac{3-3x}{x^2-9}$ · $\frac{x-3}{x-1}$
= $\frac{3.(1-x)}{(x-3).(x+3)}$ · $\frac{x-3}{x-1}$ ( Ta đổi 3.(1-x) = -3.(x-1) vì nó mới bớt đi x-1 bên kia)
= $\frac{-3}{x+3}$
Đây là 2 câu mà mình giả được cho chủ tus ạ!!
@kairyt
Hãy giúp mọi người biết câu trả lời này thế nào?

`a) (6x)/(15y^3).(-(5y^2)/(3x^2)) (ĐKXĐ : x;y\ne0) `
`=(6x)/(15y.y^2).(-(5y^2)/(3x.x))`
`=2/(3y).(-1/x)`
`=-2/(3xy)`
`b)(x+1)/(x-2).(x^2-4)/((x+1)^2) (ĐKXĐ : x\ne 2;x\ne -1)`
`=(x+1)/(x-2).((x-2)(x+2))/((x+1)(x+1))`
`=1.(x+2)/(x+1)`
`=(x+2)/(x+1)`
`@Thi nhh`
Hãy giúp mọi người biết câu trả lời này thế nào?

Bảng tin
67
1042
31
dạ cảm ơn chủ tus ạ