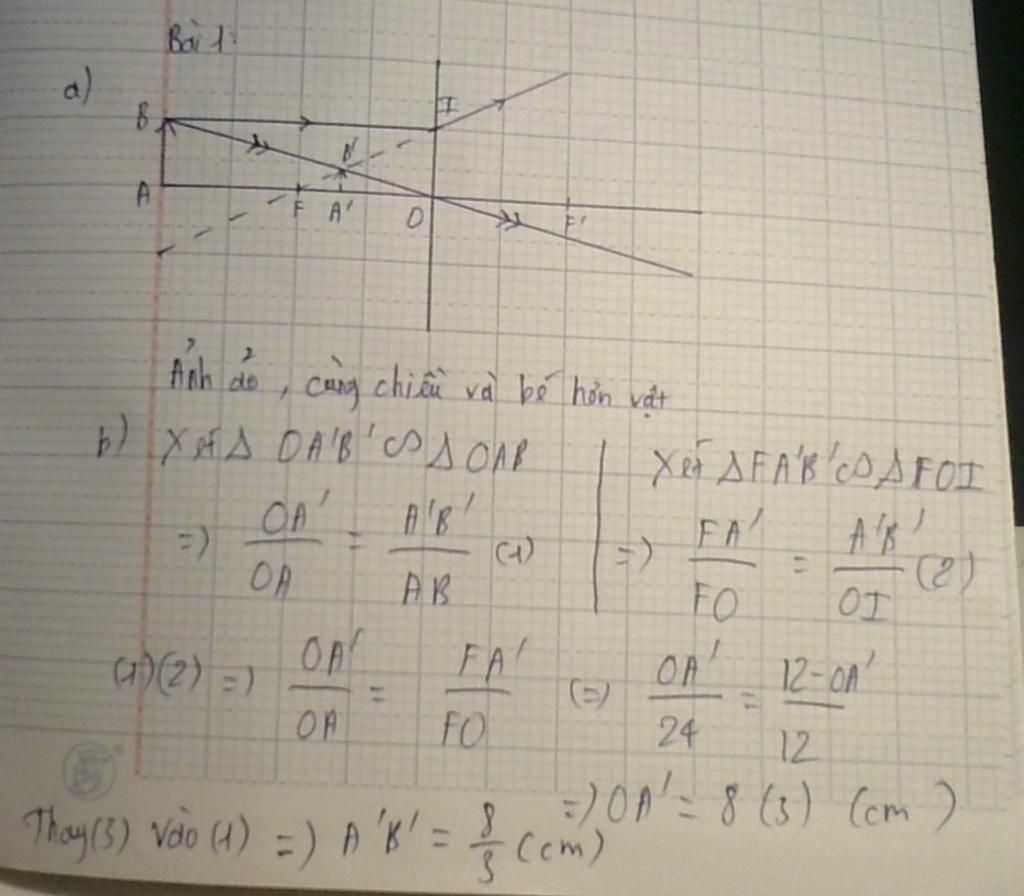
Bài 1: (1,5 điểm)
1. Việt AB cao Sam đặt trước một thấu kính phân kì, A nằm trên trục chính và cách thấu
kinh 24 cm. Thấu kính có tiêu cự là 12cm.
a. Về ảnh A'B' của vật AB qua thấu kính. Nêu tính chất của ảnh A’B’
b. Tỉnh khoảng cách từ ảnh A’B' đến thấu kính và chiều cao của ảnh A’B
...
Xem thêm