PHẦN III. CÂU TRẮC NGHIỆM TRẢ LỜI NGẮN (2 điểm). Thí sinh trả lời từ câu 1 đến câu 4.
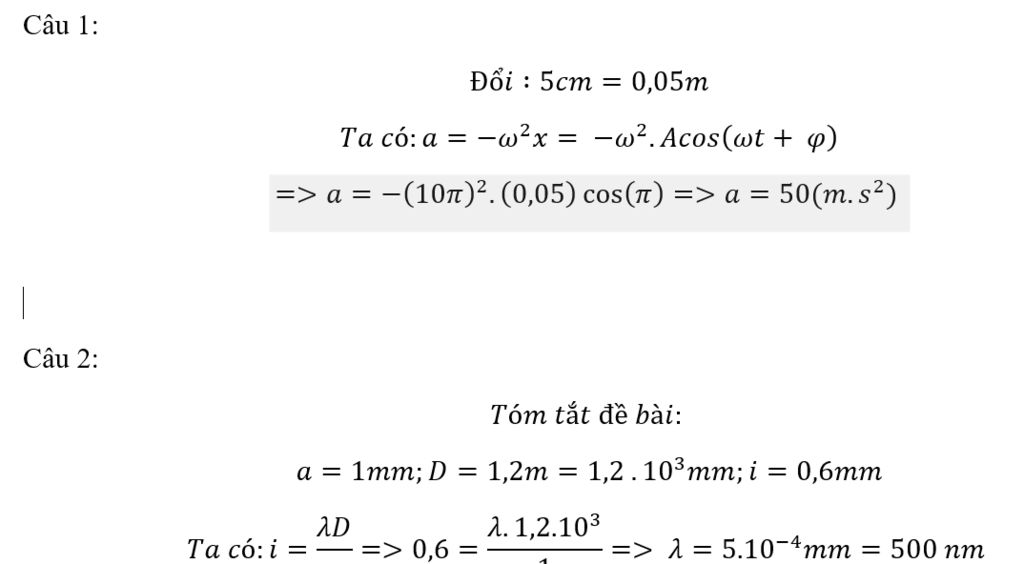
Câu 1: Một chất điểm dao động điều hoà với phương trình x = 5cos| 107t +
T (cm). Lay π² = 10.
3
Khi pha dao động bằng 7 rad thì độ lớn gia tốc của chất điểm là bao nhiêu m/s?
Đáp án 5 O
Câu 2: Trong t ...
Xem thêm