

Hãy luôn nhớ cảm ơn và vote 5*
nếu câu trả lời hữu ích nhé!
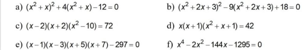
`a) ( x^2 + x )^2 + 4( x^2 + x ) - 12 = 0`
`( x^2 + x )^2 - 2( x^2 + x ) + 6( x^2 + x ) - 12 = 0`
`( x^2 + x )( x^2 + x - 2 ) + 6( x^2 + x - 2 ) = 0`
`( x^2 + x - 2 )( x^2 + x + 6 ) = 0`
`x^2 + x - 2 = 0 ( 1 ) hoặc x^2 + x + 6 = 0 ( 2 )`
`( 1 ) <=> x^2 - x + 2x - 2 = 0`
`x( x - 1 ) + 2( x - 1 ) = 0`
`( x + 2 )( x - 1 ) = 0`
`x + 2 = 0 hoặc x - 1 = 0`
`x = -2 hoặc x = 1`
`( 2 ) <=> x^2 + x + 1/4 = -23/4`
`( x + 1/2 )^2 = -23/4` ( vô lý )
`Vậy pt có S = { -2 ; 1 }`
`b) (x^2 + 2x + 3 )^2 - 9( x^2 + 2x + 3 ) + 18 = 0`
`( x^2 + 2x + 3 )^2 - 3( x^2 + 2x + 3 ) - 6( x^2 + 2x + 3 ) + 18 = 0`
`( x^2 + 2x + 3 )( x^2 + 2x + 3 - 3 ) - 6( x^2 + 2x + 3 - 3 ) = 0`
`( x^2 + 2x + 3 - 3 )( x^2 + 2x + 3 - 6 ) = 0`
`( x^2 + 2x )( x^2 + 2x - 3 ) = 0`
`x( x + 2 )( x^2 - x + 3x - 3 ) = 0`
`x( x + 2 )( x - 1 )( x + 3 ) = 0`
`x = 0 hoặc x + 2 = 0 hoặc x - 1 = 0 hoặc x + 3= 0 `
`x = 0 hoặc x = -2 hoặc x = 1 hoặc x = -3`
`Vậy pt có S = { 0 ; 1 ; -2 ; -3 }`
`c) ( x - 2 )( x + 2 )( x^2 - 10 ) = 72`
`( x^2 - 4 )( x^2 - 10 ) = 72`
`( x^2 - 7 + 3 )( x^2 - 7 - 3 ) = 72`
`( x^2 - 7 )^2 - 9 = 72`
`( x^2 - 7 )^2 -81 = 0`
`( x^2 - 7 - 9 )(x^2 - 7 + 9 ) = 0`
`( x^2 - 16 )( x^2 + 2 ) = 0`
`( x - 4 )( x + 4 )( x^2 + 2 ) = 0`
`x - 4 = 0 hoặc x + 4 = 0 hoặc x^2 + 2 = 0`
`x = 4 hoặc x = -4 hoặc x^2 = -2` ( vô lý )
`Vậy pt có S = { 4 ; -4 }`
`d) x( x + 1 )( x^2 + x + 1 ) = 42`
`( x^2 + x )( x^2 + x + 1 ) - 42 = 0`
`( x^2 + x )^2 + ( x^2 + x ) - 42 = 0`
`( x^2 + x )^2 - 6( x^2 + x ) + 7( x^2 + x ) - 42 = 0`
`( x^2 + x )( x^2 + x - 6 ) + 7(x^2 + x - 6 ) = 0`
`( x^2 + x - 6 )( x^2 + x + 7 ) = 0`
`( x^2 - 2x + 3x - 6 )( x^2 + x + 7 ) = 0`
`( x - 2 )( x + 3 )( x^2 + x + 1/4 + 27/4 ) = 0`
`x - 2 = 0 hoặc x + 3 = 0 hoặc ( x + 1/2 )^2 = -27/4` ( vô lý )
`x = 2 hoặc x = -3`
`Vậy pt có S = { 2 ; -3 }`
`e) ( x - 1 )( x - 3 )( x + 5 )( x + 7 ) - 297 = 0`
`[ ( x - 1)( x + 5 ) ][ ( x - 3 )( x + 7 ) ] - 297 = 0`
`( x^2 + 4x - 5 )( x^2 + 4x - 21 ) - 297 = 0`
`( x^2 + 4x - 13 + 8 )( x^2 + 4x - 13 - 8 ) - 297 = 0`
`( x^2 + 4x - 13 )^2 - 64 - 297 = 0`
`( x^2 + 4x - 13 )^2 - 361 = 0`
`( x^2 + 4x - 13 - 19 )(x^2 + 4x - 13 +19 ) = 0`
`( x^2 + 4x - 32 )( x^2 + 4x + 6 ) = 0`
`( x^2 - 4x + 8x - 32 )( x^2 + 4x + 4 + 2 ) = 0`
`( x - 4 )( x + 8 )[ ( x + 2 )^2 + 2 ] =0`
`x - 4 = 0 hoặc x+ 8 = 0 hoặc ( x + 2)^2 = -2` ( vô lý )
`x = 4 hoặc x = -8`
`Vậy pt có S = { 4 ; - 8 }`
`f) x^4 - 2x^2 - 144x - 1295 = 0`
`x^4 + 5x^3 - 5x^3 - 25x^2 + 23x^2 + 115x - 259x - 1295 = 0`
`x^3( x + 5 ) - 5x^2( x + 5 ) + 23x( x + 5 ) - 259( x + 5 ) = 0`
`( x + 5 )( x^3 - 5x^2 + 23x - 259 ) = 0`
`( x + 5 )( x^3 - 7x^2 + 2x^2 - 14x + 37x - 259 ) = 0`
`( x + 5 )[ x^2( x - 7 ) + 2x( x - 7 ) + 37( x - 7 ) ] = 0`
`( x + 5 )( x - 7 )( x^2 + 2x + 37 ) = 0`
`x + 5 = 0 hoặc x - 7 = 0 hoặc x^2 + 2x + 37 = 0`
`x = -5 hoặc x = 7 hoặc ( x + 1 )^2 = -36` ( vô lý )
`Vậy pt có S = { -5 ; 7 }`
Hãy giúp mọi người biết câu trả lời này thế nào?

`@` `\color[#0c1821][d]``\color[#1b384c][t]``\color[#1f4057][t]`
Đáp án:
a) `(x^2+x)^2+4(x^2+x)-12=0`
`(x^2+x)^2-2(x^2+x)+6(x^2+x)-12=0`
`(x^2+x-2)(x^2+x)+6(x^2+x-2)=0`
`(x^2+x-2)(x^2+x+6)=0`
`(x-1)(x+2)(x^2+x+1/4+23/4)=0`
`to x-1=0` hoặc `x+2=0` hoặc `x^2+x+1/4+23/4=0`
`to x=1` hoặc `x=-2` hoặc `(x+1/2)^2=-23/4` (vô lý)
Vậy `S={1;-2}`
b) `(x^2+2x+3)^2-9(x^2+2x+3)+18=0`
`(x^2+2x+3)^2-3(x^2+2x+3)-6(x^2+2x+3)+18=0`
`(x^2+2x+3)(x^2+2x+3-3)-6(x^2+2x+3-3)=0`
`(x^2+2x+3-6)(x^2+2x)=0`
`x(x+2)(x^2+2x-3)=0`
`x(x+2)(x-1)(x+3)=0`
`to x=0` hoặc `x+2=0` hoặc `x-1=0` hoặc `x+3=0`
`to x=0` hoặc `x=-2` hoặc `x=1` hoặc `x=-3`
Vậy `S={0;-2;1;-3}`
c) `(x-2)(x+2)(x^2-10)=72`
`(x^2-4)(x^2-10)-72=0`
Đặt `x^2-7=t` ta được pt mới :
`(t-3)(t+3)-72=0`
`t^2-9-72=0`
`t^2-81=0`
`(t-9)(t+9)=0`
`to t-9=0` hoặc `t+9=0`
`to t=9` hoặc `t=-9`
*Lần lượt thế các giá trị `t` tìm được ta có :
TH1: `t^2-7=9`
`t^2=16`
`to t in {4;-4}`
TH2: `t^2-7=-9`
`t^2=-2` (vô lý)
Vậy `S={4;-4}`
d) `x(x+1)(x^2+x+1)=42`
`(x^2+x)(x^2+x+1)-42=0`
Đặt `x^2+x=t` ta được pt mới :
`t(t+1)-42=0`
`t^2+t-42=0`
`t^2+7t-6t-42=0`
`t(t+7)-6(t+7)=0`
`(t-6)(t+7)=0`
`to t-6=0` hoặc `t+7=0`
`to t=6` hoặc `t=-7`
*Lần lượt thay các giá trị `t` tìm được ta có :
TH1: `x^2+x=6`
`x^2+x-6=0`
`x^2-2x+3x-6=0`
`x(x-2)+3(x-2)=0`
`(x+3)(x-2)=0`
`to x+3=0` hoặc `x-2=0`
`to x=-3` hoặc `x=2`
TH2: `x^2+x=-7`
`x^2+x+7=0`
`x^2+x+1/4+27/4=0`
`(x+1/2)^2=-27/4` (vô lý)
Vậy `S={-3;2}`
e) `(x-1)(x-3)(x+5)(x+7)-297=0`
`(x-1)(x+5)(x-3)(x+7)-297=0`
`(x^2+4x-5)(x^2+4x-21)-297=0`
Đặt `x^2+4x-13=t` ta được pt mới :
`(t+8)(t-8)-297=0`
`t^2-64-297=0`
`t^2-361=0`
`(t-19)(t+19)=0`
`to t-19=0` hoặc `t+19=0`
`to t=19` hoặc `t=-19`
*Lần lượt thay các giá trị `t` tìm được ta có :
TH1: `x^2+4x-13=19`
`x^2+4x-32=0`
`x^2-4x+8x-32=0`
`x(x-4)+8(x-4)=0`
`(x+8)(x-4)=0`
`to x+8=0` hoặc `x-4=0`
`to x=-8` hoặc `x=4`
TH2: `x^2+4x-13=-19`
`x^2+4x-13+19=0`
`x^2+4x+6=0`
`x^2+4x+4+2=0`
`(x+2)^2=-2` (vô lý)
Vậy `S={-8;4}`
f) `x^4-2x^2-144x-1295=0`
`x^4+2x^2+1-4x^2-144x-1296=0`
`(x^2+1)^2-4(x^2+36x+324)=0`
`(x^2+1)^2-2^2*(x+18)^2=0`
`(x^2+1)^2-(2x+36)^2=0`
`(x^2+1-2x-36)(x^2+1+2x+36)=0`
`(x^2-2x-35)(x^2+2x+37)=0`
`(x^2+5x-7x-35)(x^2+2x+1+36)=0`
`[x(x+5)-7(x+5)][(x+1)^2+36]=0`
`(x-7)(x+5)[(x+1)^2+36]=0`
`to x-7=0` hoặc `x+5=0` hoặc `(x+1)^2+36=0`
`to x=7` hoặc `x=-5` hoặc `(x+1)^2=-36` (vô lý)
Vậy `S={7;-5}`
Hãy giúp mọi người biết câu trả lời này thế nào?

Bảng tin