

Hãy luôn nhớ cảm ơn và vote 5*
nếu câu trả lời hữu ích nhé!
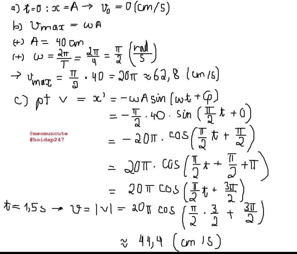
Bài `1:`
`a)` Tại `t=0,` vật đang ở vị trí biên `(x=A)`
`->v=0` cm/s
`b)` Biên độ ( khoảng cách lớn nhất so với vị trí cân bằng): `A=40` cm
Chu kì: `T=5-1=4` giây
Tần số góc: `\omega ={2\pi}/T={2\pi}/4=\pi/2` rad/s
Tốc độ cực đại của vật:
`v_{max}=A\omega =40. \pi/2=20\pi` `cm//s`
`c)cos \varphi=x/A=1`
`->\varphi=0`
Phương trình vận tốc:
`v=-A\omega sin (\omega t + \varphi)=-20\pi sin(\pit)=20\picos(\pi/2 t +\pi/2)`
Tại `t=1,5:`
`->v=40\picos(\pi/2 .1,5 +\pi/2)≈-44,4` cm/s
Hãy giúp mọi người biết câu trả lời này thế nào?
Bảng tin