

Hãy luôn nhớ cảm ơn và vote 5*
nếu câu trả lời hữu ích nhé!
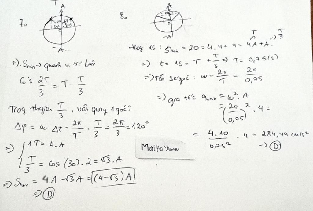
Góc quét được trong khoảng thời gian
`\alpha=ωΔt=(2\pi)/(T) .(2T)/3 =(4\pi)/3`
Trong thời gian $ \frac{T}{2} $, quãng đường đi được là 2A.
Trong thời gian còn lại $ \frac{T}{6} $, góc quét là
`(2\pi)/T .T/6=(\pi)/3`
Quãng đường nhỏ nhất trong `T/6`:
`2(A-Acos(\pi)/6)=A(2-\sqrt{3})`
Tổng quãng đường nhỏ nhất là
`S_(min)=2A+A(2-\sqrt{3})=A(4-\sqrt{3})`
`->D`
8
`20cm=5A`
Giả sử `Δt=nΔT+Δt'vớiΔt'<ΔT`
tg để từ `A/2 - T/6` là `T/3`
Quãng đường là `2(A-A/2)=A`
`Δt=T+T/3=4/3 T`
`1=4/3 T =>T=3/4 s`
`ω=(2\pi)/T =8/3 \pi` rad/s
`a_(max)=ω^2 A=64/9 π^2 .4 ~~284,44 cm`/`s^2` (với `\pi =10`)
Hãy giúp mọi người biết câu trả lời này thế nào?
:) latex đoạn cuối anh
thk a t ko on nx
:)) cần j em nhắn mess cho anh nha
?-? thế ai nhắn cho ai
Em nhắn cho anh lên ko phải lo =)
Bảng tin