

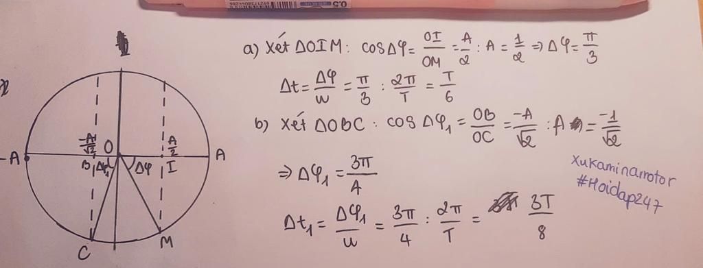
xác định thời gian ngắn nhất để vật đi từ :
a) từ vị trí biên dương đến x=A/2
b)vị trí biên âm x=-A/căn 2
vẽ hình và cho mk hỏi khi nào chiếu lên chiều dương khi nào chiếu lên chiều âm vs ạ
Hãy luôn nhớ cảm ơn và vote 5*
nếu câu trả lời hữu ích nhé!
Đáp án:
Giải thích các bước giải:
a, vị trí cần đến là A/2 :
=>cos của omega x h =1/2
=>góc là 60 độ
=>h=60/omega
=>kết quả :h=số pi/3 chia cho omega
b, vị trí cần đến là -A/căn 2:
=>cos của omega x h =-1/căn 2
=>góc là 135 độ
=>h=135 độ /omega
=>kết quả :h=3 pi /4 chia cho omega
Hãy giúp mọi người biết câu trả lời này thế nào?

Bảng tin
1097
1241
1983
Xloi vì lm phiền ạ, cho tớ hỏi nhóm có ngủ đông ko ạ, mik vô có đk ạ?
2700
45683
2658
:)nhóm ngủ nhưng mà là nhx thành viên gắn bó lâu vs nhóm thôi ạ, còn ai ms vào thì cx pk cày thôi ạ
1097
1241
1983
da vg v th ạ