

Bình đun siêu tốc Delites DT15S01 công suất 1500 W, có khối lượng 500 g làm bằng vật liệu có nhiệt dung riêng 480 J/(kgK). Dùng bình này đun 1,20lít nước ở nhiệt độ 25,0oC. Nước có nhiệt dung riêng 4200 J/(kgK) và khối lượng riêng 1,00kg/lít. Khi đun, bình tiêu thụ đúng công suất điện 1500 W thì có 20,0% năng lượng truyền ra môi trường, phần còn lại truyền nhiệt cho bình và nước trong bình. Xem nước chỉ hóa hơi ở nhiệt độ sôi và nhiệt hóa hơi riêng của nước ở nhiệt độ đó là 2,26.106J/kg.
a)Khi nước đạt đến 100oC thì sự hóa hơixảy ra đồng thời ở bên trong và trên mặt nước.
b)Vỏ của bình đun siêu tốc dẫn nhiệt tốt hơn nước trong bình.
c)Khi bình tiêu thụ đúng công suất điện thì hoảng thời gian để đun nước trong bình vừa sôi là 5,25 phút.
d) Khi bình tiêu thụ đúng công suất điện trong 8 phút thì thể tích nước còn lại trong bình là 1,12 lít
Hãy luôn nhớ cảm ơn và vote 5*
nếu câu trả lời hữu ích nhé!
Đây là câu trả lời đã được xác thực
Câu trả lời được xác thực chứa thông tin chính xác và đáng tin cậy, được xác nhận hoặc trả lời bởi các chuyên gia, giáo viên hàng đầu của chúng tôi.
a) Đúng
khi nước đạt đến nhiệt độ sôi, sự chuyển pha từ lỏng sang hơi diễn ra trên bề mặt và xuất hiện các bọt hơi nước hình thành bên trong lòng chất lỏng, sau đó nổi lên và thoát ra ngoài.
b) đúng (TH vỏ bình làm bằng kim loại)
Kim loại ( vỏ bình): Có hệ số dẫn nhiệt cao, cho phép nhiệt truyền qua nó nhanh chóng.
Nước: Có hệ số dẫn nhiệt thấp hơn nhiều so với kim loại.
c)sai
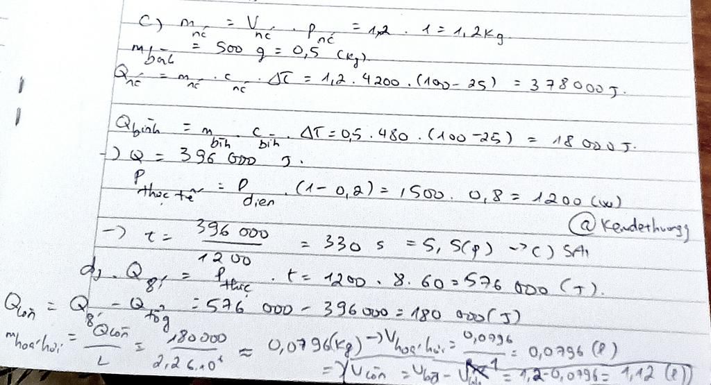
Nhiệt lượng cần thiết để nước nóng lên
`Q=m . c .(t_s -t_1)Q=1,2.4200.75=378000J`
Nhiệt lượng cần thiết để bình nóng lên
`Q'=m' .c'.(t_s -t_1)Q'=0,5.480.75=18000 J`
Tổng nhiệt lượng cần thiết để đun sôi
`378000+18000=396000J`
năng lượng điện mà bình tiêu thụ:
`396000/0,8=495000J`
Thời gian đun
`495000/1500 =330 s=5,5p`
d) Đúng
Năng lượng điện tiêu thụ: `1500.480=720000J`
Năng lượng thực tế truyền vào: `720000.0,8=576000J`
Năng lượng dùng để hóa hơi nước:`576000-396000=180000J`
Khối lượng nước hóa hơi: `180000/(2,26.10^6) ~~0,0796kg`
Khối lượng nước còn lại trong bình: 1,2-0,0796=1,120,4kg`
Thể tích nước còn lại trong bình: `m/D~~1,1204 l`
Hãy giúp mọi người biết câu trả lời này thế nào?
`-` Đáp án: Đ - Đ - S - Đ
`-` a)
`-` Khi nước đạt đến nhiệt độ sôi` (100°C)`,sự hóa hơi xảy ra ở cả bề mặt và bên trong chất lỏng, tạo thành các bọt khí.
`-` b)
`-` Vỏ của bình đun siêu tốc thường được làm bằng kim loại (như inox, nhôm..) có khả năng dẫn nhiệt tốt hơn nhiều so với nước.
Hãy giúp mọi người biết câu trả lời này thế nào?
Bảng tin
589
344
563
Latex a