Vui lòng chỉ chọn một câu hỏi
Hoidap247.com Nhanh chóng, chính xác
+
Danh mục mới
21
-6
1
giúp mình với mình cảm ơn
Hãy luôn nhớ cảm ơn và vote 5* nếu câu trả lời hữu ích nhé!
2035
14635
1415
Đáp án:
Giải thích các bước giải:
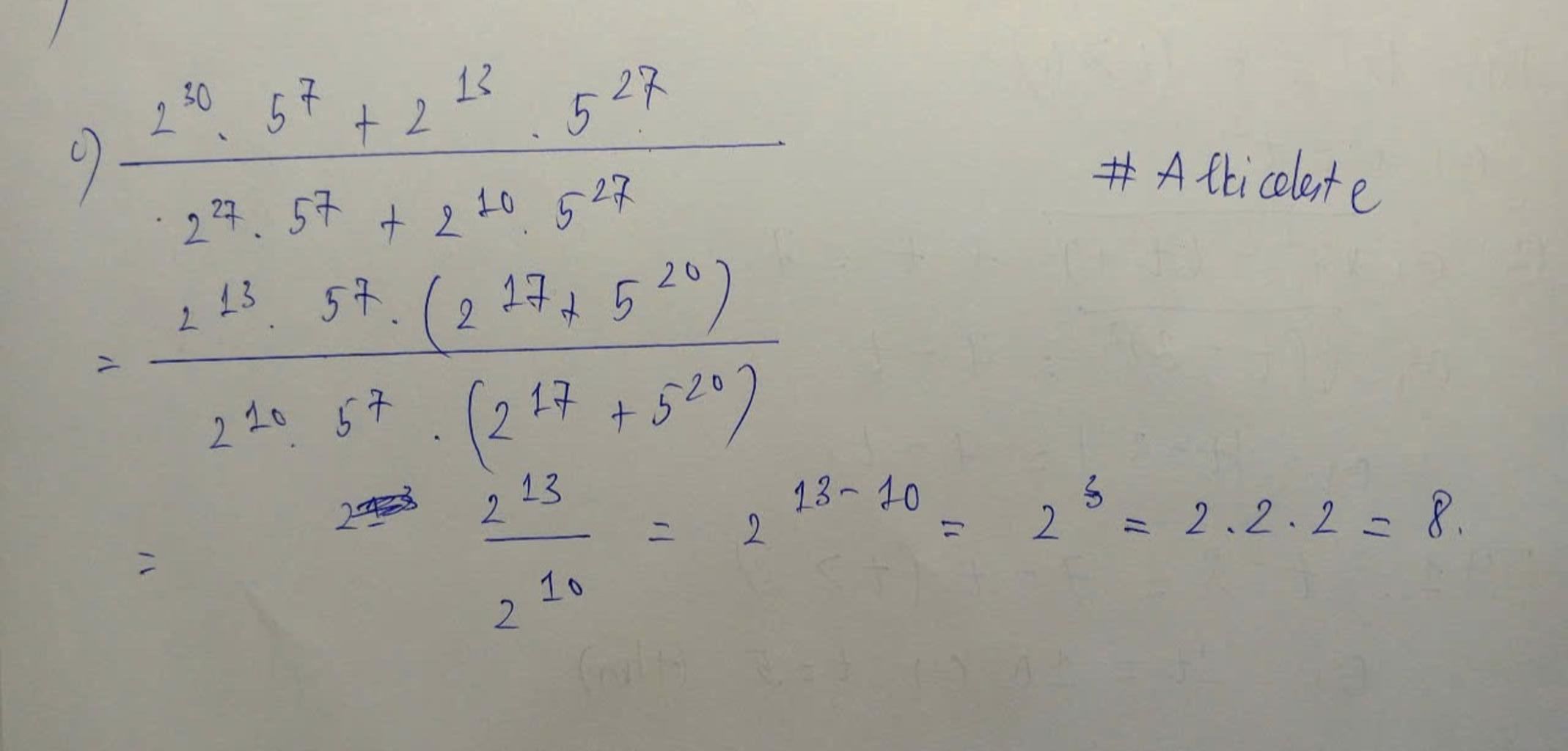
`C)`
` (2^30 . 5^7 + 2^13 . 5^27 )/( 2^27 . 5^7 + 2^10 . 5^27) `
`= (2^13 ( 2^17 . 5^17 + 5^27 ))/(2^10 ( 2^17 . 5^7 + 5^27 )) `
`= (2^13)/(2^10) `
`= 2^(13 - 10) `
`= 2^3 `
`= 2 . 2 . 2 `
`= 8` Vậy .......
Hãy giúp mọi người biết câu trả lời này thế nào?
1444
144
1086
Buồn quá dạy :(((
1761
15242
1429
um:(
lại chuyển thành ck iu đẹp zai r:)
ủa dì ngộ z=)))
chịu
trc khi t di tắm thấy bio ngla kh quen tắm xog lại thành ck iu đẹp zai
t vừa từ phòng khách thì là ngla t vào phòng ngủ của t thì thành ck iu đẹp zai:))
:))))
6221
86710
2923
26165
325758
17472
hastag hình như của web ,mail mới là cá nhân user:)
Là gì thế?
@ đó:)
Kí hơn 2k ảnh như thế r a, chắc ko sao đâu :)
Bảng tin
Gửi yêu cầu Hủy
1444
144
1086
Buồn quá dạy :(((
1761
15242
1429
um:(
1761
15242
1429
lại chuyển thành ck iu đẹp zai r:)
1444
144
1086
ủa dì ngộ z=)))
1761
15242
1429
chịu
1761
15242
1429
trc khi t di tắm thấy bio ngla kh quen tắm xog lại thành ck iu đẹp zai
1444
144
1086
t vừa từ phòng khách thì là ngla t vào phòng ngủ của t thì thành ck iu đẹp zai:))
1761
15242
1429
:))))