

Hãy luôn nhớ cảm ơn và vote 5*
nếu câu trả lời hữu ích nhé!

Đáp án:
`10,4cm`
Giải thích các bước giải:
Lực hút do `q_1, q_2` tác dụng lên `q_3` lần lượt là:
`F_[13] = [k|q_1 q_3|]/[([AB]/2)^2] = [9.10^9 .|2.10^[-6].(-3).10^[-6]|]/[([AB]/2)^2] = [0,216]/[AB^2] (N)`
`F_[23]= [k|q_2 q_3|]/[([AB]/2)^2] = [9.10^9 .|10^[-6].(-3).10^[-6]|]/[([AB]/2)^2] = [0,108]/[AB^2] (N)`
Ta có: `F_3 = |F_[13] - F_[23]|`
`to 10 = |[0,108]/[AB^2] - [0,216]/[AB^2]|`
`to AB^2 = 0,0108`
`to AB approx 0,104 (m) = 10,4 (cm)`
Hãy giúp mọi người biết câu trả lời này thế nào?
Giải thích các bước giải + Đáp án:
Bước 1: Gọi độ dài đoạn AB là d thì khoảng cách từ q3 đến q1 và q2đều là d/2
Bước 2 : Tính lực từ
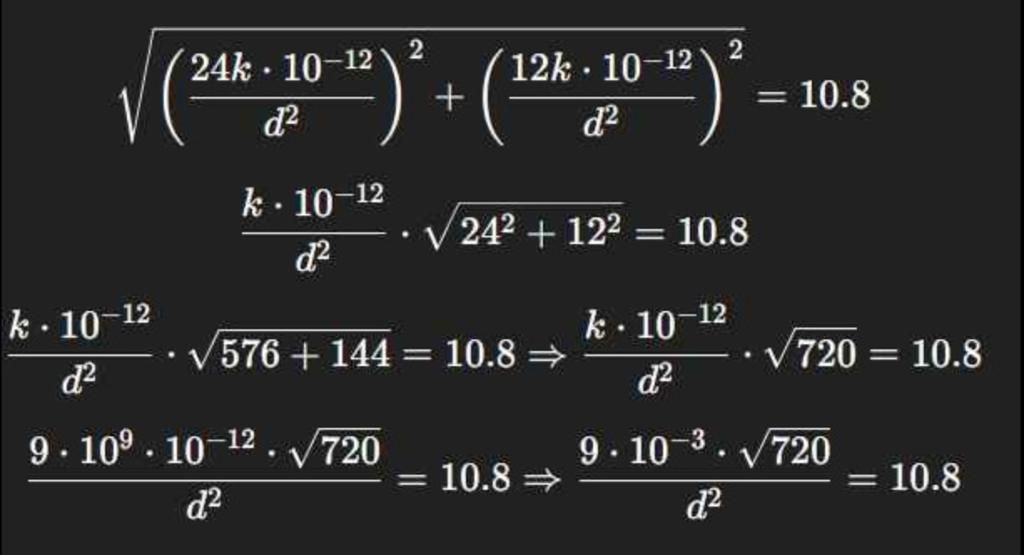
q1 lên q3 : F1=k⋅(d/2)2∣q1⋅q3∣=k⋅(d/2)22⋅10−6⋅3⋅10−6=(d2/4)6k⋅10−12=d224k⋅10−12
p2 lên p3 : F2=k⋅(d/2)2∣q2⋅q3∣=k⋅(d/2)21⋅10−6⋅3⋅10−6=(d2/4)3k⋅10−12=d212k⋅10−12
Bước 3: Tính hợp lực do F1 và F2:
Vì Hai lực này không thẳng hàng (do q1 và q2 ở hai đầu AB, q3= ở giữa), nên phải dùng định lý Pytago để tính tổng hợp lực: F=√F=F12+F22=10.8N
Thế : ( xem ảnh do trên web khó làm )
Tính √720≈26.83, ta có: ( xem ảnh 2 )
Vậy đáp án ≈ 14,95 cm
Hãy giúp mọi người biết câu trả lời này thế nào?
Bảng tin