Đăng nhập để hỏi chi tiết


Hãy luôn nhớ cảm ơn và vote 5*
nếu câu trả lời hữu ích nhé!
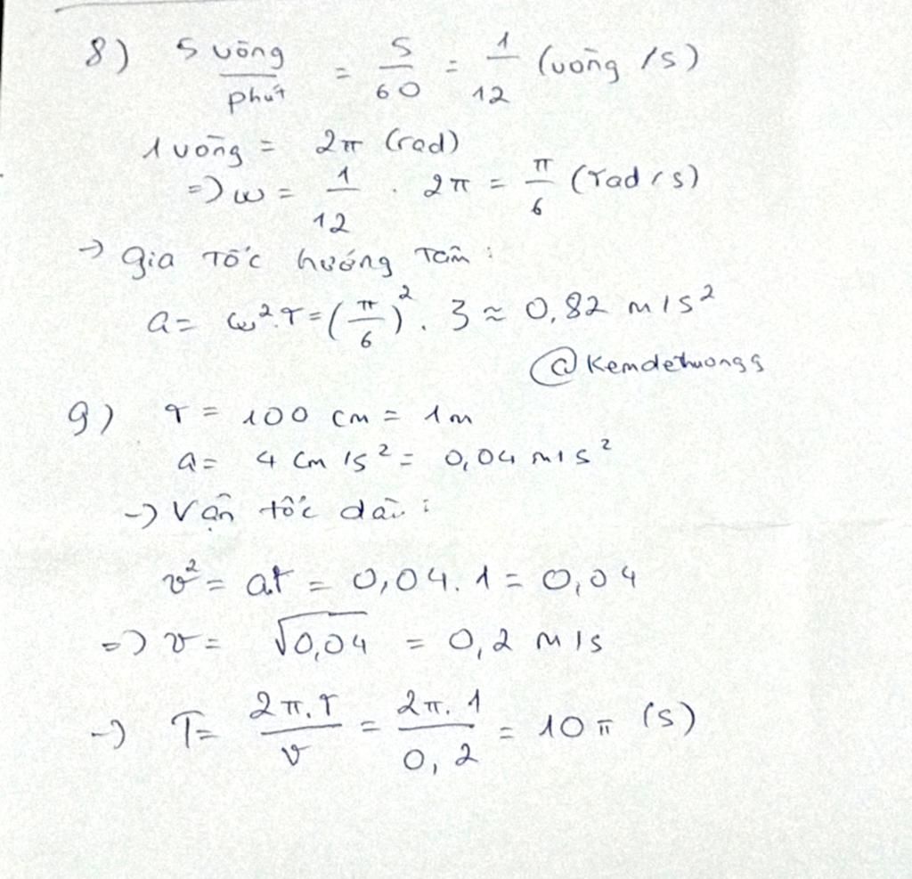
`8`
`1min=60s`
Tần số: `f=n/t=5/60=1/12(Hz)`
Chu kì: `T=1/f=12(s)`
Tốc độ góc: `omega=[2pi]/T=[2pi]/12=pi/6(rad//s)`
Gia tốc hướng tâm: `a_[ht]=omega^2r=(pi/6)^2*3=[pi^2]/12~~0.82(m//s^2)`
`9`
`100cm=1m`
`4cm//s^2=0.04m//s^2`
Tốc độ góc:
`a_[ht]=romega^2`
`-> omega=sqrt[[a_[ht]]/r]=sqrt[[0.04]/1]=0.2(rad//s)`
Chu kì: `T=[2pi]/[omega]=[2pi]/[0.2]=10pi~~31(s)`
Hãy giúp mọi người biết câu trả lời này thế nào?
Bảng tin