PHẦN II. CẤU TRÁC NGHIỆM ĐÚNG SAI (2,0 điểm). Học sinh trả lời từ câu 1 đến câu 2. Trong mỗi ý
a), b), c). d) ở mỗi câu, học sinh chọn đúng hoặc sai.
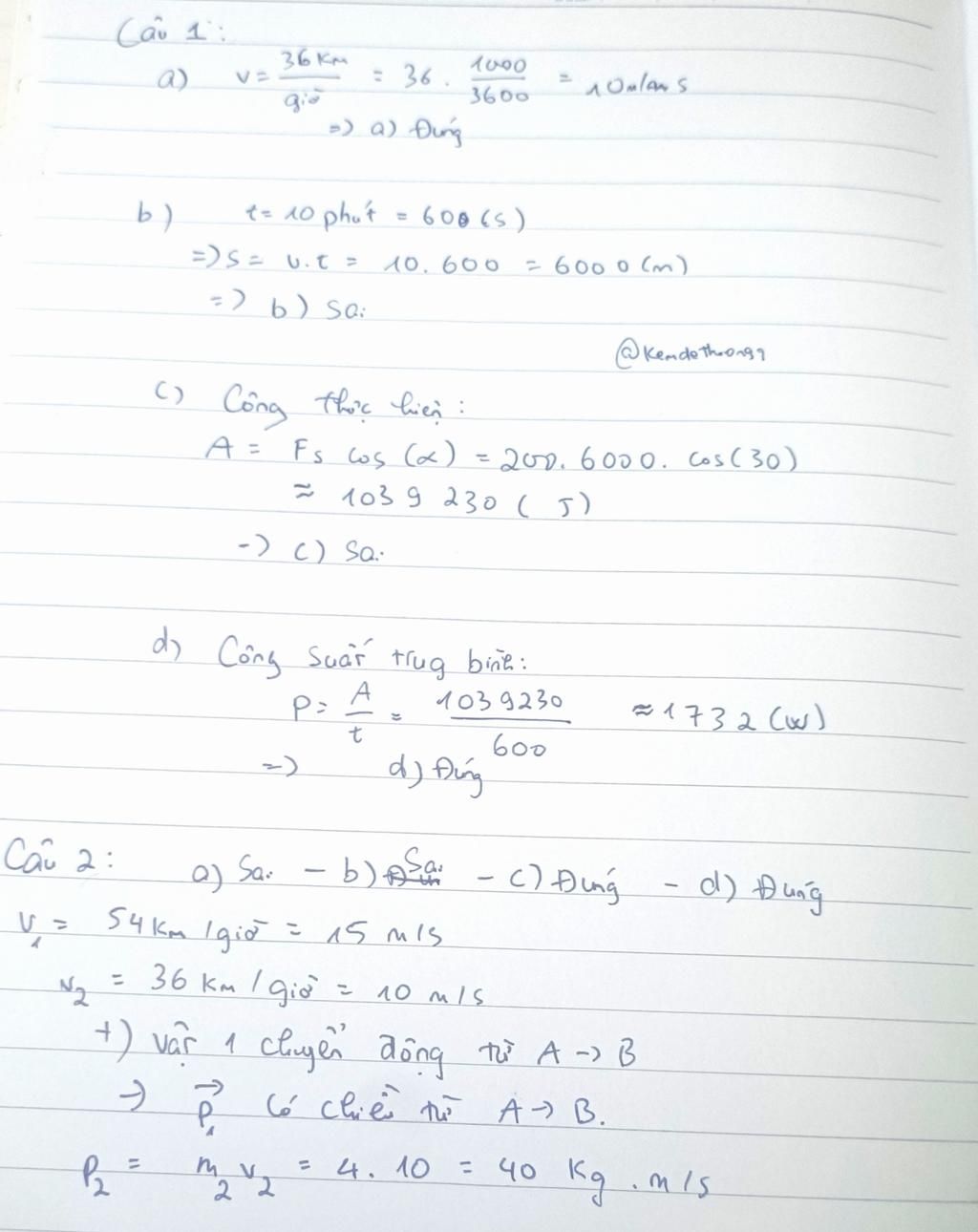
Câu 1. Một con ngựa kéo một chiếc xe bằng lực không đổi 200N theo góc 30° so với phương ngang trong
10 phút và chuyển động với tốc độ 36 ...
Xem thêm