c. Cường độ điện trường tại một điểm đặc trưng cho tác dụng lực của
d. Các đường sức của cùng một điện trường có thể cắt nhau.
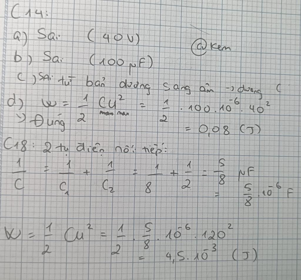
Câu 14: Cho tụ điện như hình bên
a.Hiệu điện thế tối đa có thể đặt vào hai đầu tụ mà tụ không bị đánh
thủng là 40V
b.Điện dung của tụ là 1000uF
c.Điện trường g ...
Xem thêm
7595
125310
4032
ib mess tí đi :))
1257
4228
719
v cx tìm đc nx=))
1257
4228
719
hog thấy nhắn
7595
125310
4032
Chờ tí:)))
737
32571
1070
Bạn chú ý username ở ảnh phải ghi đầy đủ nha. Lỡ mod ngta xóa cũng khó cãi lại lắm :c
1257
4228
719
the mod này bảo kê dung hog =))
737
32571
1070
Kk tui nhắc cậu thôi, có mod khác xóa t cx chịu :)) còn mình đâu phải kiểu mod chạy KPI đâu.
1257
4228
719
thoi cảm mơn nha tui ms bị xóa 1 bài nè =)) để trl lại