Đăng nhập để hỏi chi tiết


Hãy luôn nhớ cảm ơn và vote 5*
nếu câu trả lời hữu ích nhé!
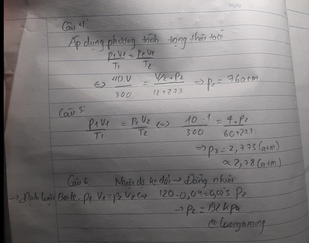
Áp dụng phương trình trạng thái khí lý tưởng:
`(P_1V_1)/T_1 = (P_2V_2)/T_2`
`(40V_1)/300 = (P_2V_1/2)/285`
`P_2=76atm`
Câu5
Áp dụng phương trình trạng thái khí lý tưởng:
`(P_1V_1)/T_1 = (P_2V_2)/T_2`
` P2 ≈ 2,75 atm.`
Câu 6
Áp dụng định luật Bôi-lơ Mariot:
`P_1V_1 = P_2V_2`
`P_2 ≈ 192 kPa.`
Hãy giúp mọi người biết câu trả lời này thế nào?

Bảng tin