Vui lòng chỉ chọn một câu hỏi
Hoidap247.com Nhanh chóng, chính xác
+
Danh mục mới
0
80
Hãy luôn nhớ cảm ơn và vote 5* nếu câu trả lời hữu ích nhé!
985
7380
978
Đáp án:
alpha = alpha0/căn(n+1)
Lời giải:
Hãy giúp mọi người biết câu trả lời này thế nào?
Bạn cho mình lời giải chi tiết được không ạ
Được bạn nhé. Bạn chờ mình chút mình gửi
Mình gửi lại câu trả lời chị tiết rồi. Bạn vào xem nhé
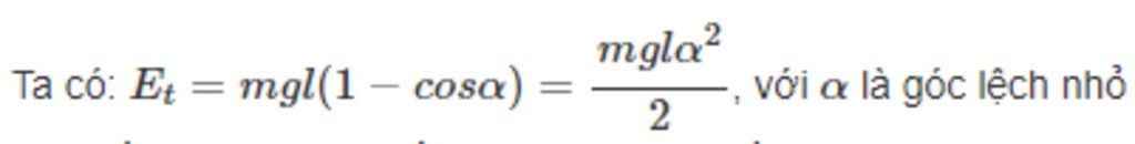
Cái công thức 1/2mgla^2 sao ạ. Mk chưa thấy bao giờ
Đó là công thức tính thế năng của con lắc đơn dao động điều hoà bạn nhé. Mình có gửi thêm ảnh trong câu trả lời đó. Bạn xem nhé!
Em mới học lớp 10 chưa được học và cũng chưa đc dùng thì làm thế nào.
Bảng tin
Gửi yêu cầu Hủy
0
80
0
Bạn cho mình lời giải chi tiết được không ạ
985
7380
978
Được bạn nhé. Bạn chờ mình chút mình gửi
985
7380
978
Mình gửi lại câu trả lời chị tiết rồi. Bạn vào xem nhé
0
80
0
Cái công thức 1/2mgla^2 sao ạ. Mk chưa thấy bao giờ
985
7380
978
Đó là công thức tính thế năng của con lắc đơn dao động điều hoà bạn nhé. Mình có gửi thêm ảnh trong câu trả lời đó. Bạn xem nhé!
0
80
0
Em mới học lớp 10 chưa được học và cũng chưa đc dùng thì làm thế nào.
0
80
0
Em mới học lớp 10 chưa được học và cũng chưa đc dùng thì làm thế nào.