

Giải bài vật lí giúp tôi cứu với moii người ơi
Một hành khách dùng 1 dây cao su treo một chiếc balo lên trần toa tàu, ngay phía trên bánh xe của một toa tàu. Khối lượng của balo 16 (kg) hệ số cứng của dây cao su 900(N/m) , chiều dài mỗi thanh ray là 12,5 (m) ở chỗ nối hai thanh ray có một khe nhỏ. Hỏi tàu chạy với tốc độ bao nhiêu km/h thì balo dao động mạnh nhất?
Hãy luôn nhớ cảm ơn và vote 5*
nếu câu trả lời hữu ích nhé!
Giải thích các bước giải:
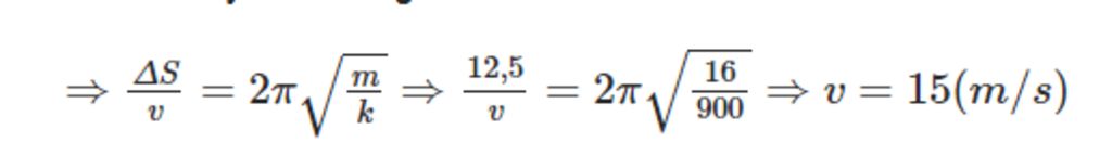
`m = 16kg`
`k = 900(N//m)`
`Δs = 12,5 (m)`
Ta có `T = (Δs)/v = 2π.\sqrt{m/k}`
`-> v = (Δs)/(2π.\sqrt{m/k}) = (12,5)/(2π.\sqrt{16/900}) ≈ 14,92 (m//s)`
Hãy giúp mọi người biết câu trả lời này thế nào?
Bảng tin