giảm nhưng giảm chạm hơn sự giảm nhiệt độ.
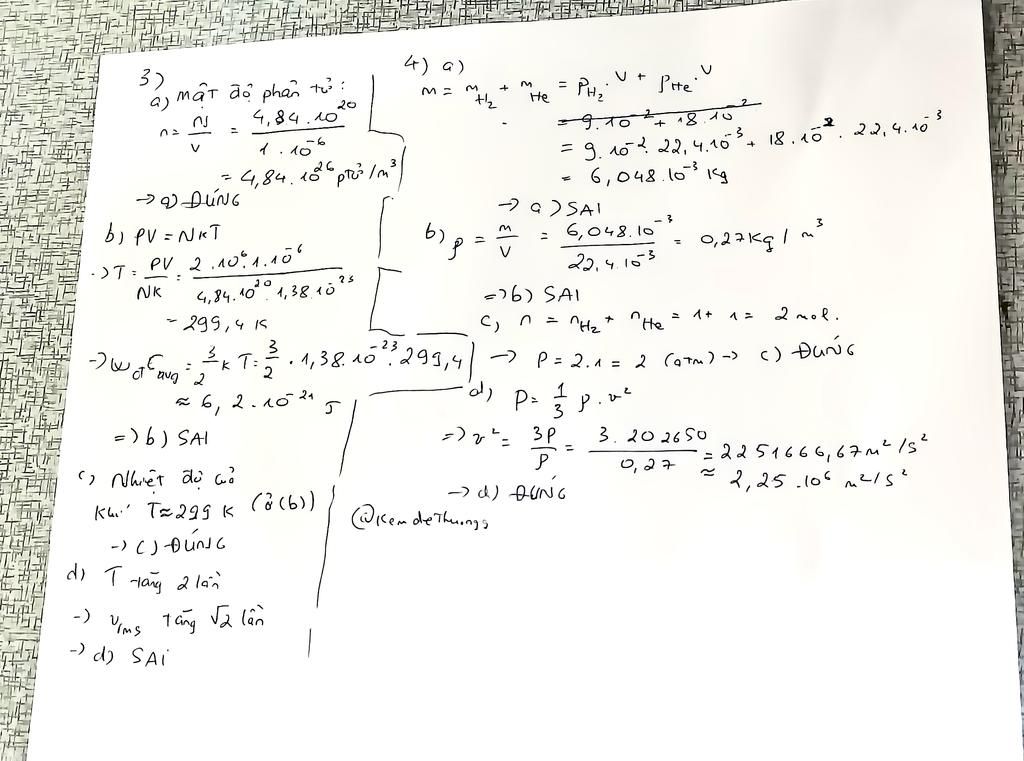
Câu 3. Áp suất của khí lí tưởng là 2,00 MPa, số phân tử khí trong 1,00 cm3 là 4,84.1020
A. Mật độ phân tử của khí lí tưởng là 4,84.10% phân tử/ m3
B. Động năng trung bình của phân tử khí là 8,26.10-21 J.
C. Nhiệt độ của khí là 299K.
D. Nếu nhi ...