

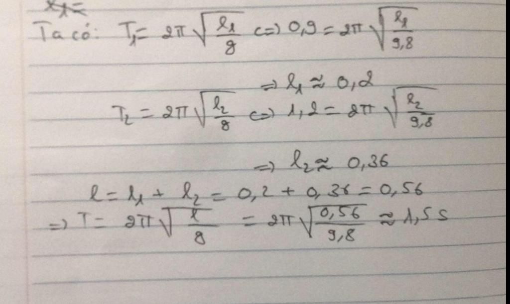
Câu 13. (0.35 điểm) Tại một nơi, một con lắc đơn có chiều dài l1, dao động điều hòa nơi có gia tốc g, chu kỳ dao động là T1 = 0,9s. Khi chiều dài con lắc là l2 thì chu kỳ dao động là T2 = 1,2s. Chu kỳ của con lắc khi l = l1 + l2 là:
A. T = 1,5s B. T = 2,1s
C. T = 1,05s D. T = 0,3s
Hãy luôn nhớ cảm ơn và vote 5*
nếu câu trả lời hữu ích nhé!
Bảng tin
1423
26305
1345
Vô ko
1423
26305
1345
Cày ít $?$ r=))
5009
409
1455
Chủ yếu đua top lí th
1423
26305
1345
Gửi y/c đi anh bảo kê
1423
26305
1345
Tùy e
1423
26305
1345
Thôi a đi học đây
5009
409
1455
Thôi e ở ẩn th
1423
26305
1345
Okok :))