

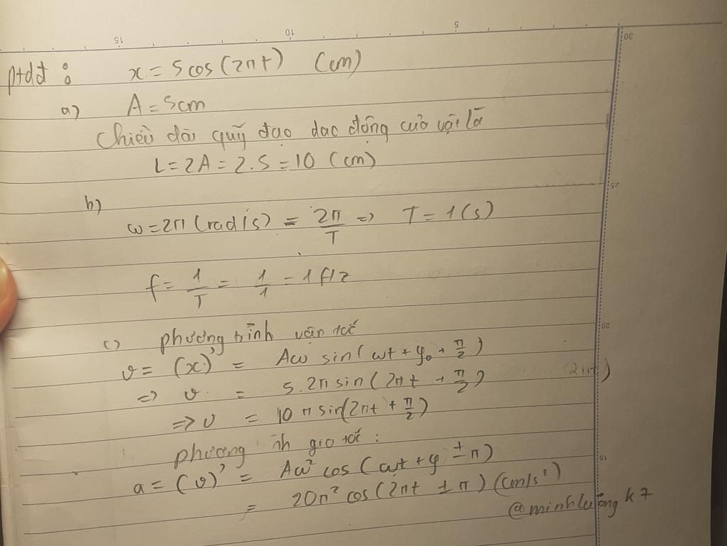
Câu 6. Một vật dao động điêu hòa có phương trình li độ x=5cos(2$\pi$t) (cm)
a. Tinh độ lớn chiều dài quỹ đạo dao động của vật.
b. Xác định chu kì, tần số.
c. Viết phương trình vận tốc, gia tốc.
Hãy luôn nhớ cảm ơn và vote 5*
nếu câu trả lời hữu ích nhé!
Đáp án+Giải thích các bước giải:
`x=5cos(2\pit)` (cm)
a,
Độ lớn chiều dài quỹ đạo `L=2A=2.5=10` (cm)
b,
Ta có: `ω=2\pi`
`⇒` Chu kì `T=(2\pi)/ω=1` (s)
Tần số: `f=1/T=1` (Hz)
c,
Phương trình vận tốc:
`v=5.2\picos(2\pit+\pi/2)=10\picos(2\pit+\pi/2)` (cm/s)
Phương trình gia tốc:
`a=5.(2\pi)^2 cos(2\pit±\pi)=20\pi^2cos(2\pit±\pi)` (cm/`s^2`)
Hãy giúp mọi người biết câu trả lời này thế nào?
Đáp án$+$Giải thích các bước giải:
Bạn xem hình bên dưới nhé↓
$1$ Ảnh
Hãy giúp mọi người biết câu trả lời này thế nào?
Bảng tin