

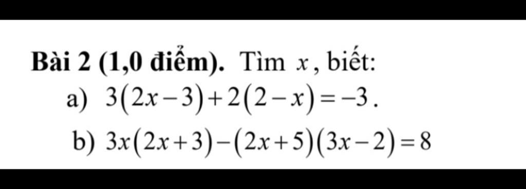
Bài 2 (1,0 điểm). Tìm x, biết:
a) 3(2x-3)+2(2-x)=-3.
b) 3x(2x+3)-(2x+5)(3x-2)=8
Hãy luôn nhớ cảm ơn và vote 5*
nếu câu trả lời hữu ích nhé!
`a)` `3(2x-3) +2(2-x) = -3`
`<=> 6x - 9 + 4 - 2x = -3`
`<=> 4x -5=-3`
`<=>4x=2`
`<=>x=1/2`
vậy `x=1/2`
`b)` `3x(2x+3) - ( 2x+5)(3x-2)=8`
`<=> 6x^2 + 9x - 6x^2-11x+10=8`
`<=> -2x + 10 =8`
`<=>-2x=-2`
`<=>x=1`
Vậy `x=1`
Hãy giúp mọi người biết câu trả lời này thế nào?
Đáp án+Giải thích các bước giải:
a) `3(2x - 3) + 2(2 - x) = -3`
`=> 6x - 9 + 4 - 2x = -3`
`=> 4x - 5 = -3`
`=> 4x = 2`
`=> x = 1/2`
Vậy `x = 1/2`
b) `3x(2x+3) - (2x + 5)(3x -2 ) = 8`
`=> (6x^2 + 9x) - (6x^2 + 11x - 10) = 8`
`=> 6x^2 + 9x - 6x^2 - 11x + 10 = 8`
`=> -2x + 10 = 8`
`=> -2x = -2`
`=> x =1`
Vậy `x = 1`
`\ttcolor{red}{#T2}`
Hãy giúp mọi người biết câu trả lời này thế nào?
Bảng tin