

Hãy luôn nhớ cảm ơn và vote 5*
nếu câu trả lời hữu ích nhé!
Đáp án`+`Giải thích các bước giải:
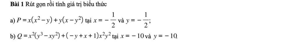
`P=x(x^2-y)+y(x-y^2)`
`=x^3 -xy+ xy-y^3`
`=(x^3 -y^3)+(-xy+xy)`
`=x^3-y^3`
Thay `x=-1/2;y=-1/2` vào `P`, ta được:
`(-1/2)^3 +(1/2)^3`
`= -1/8 +1/8`
`=0`
Vậy `P=0` tại `x=-1/2;y=-1/2`
`b) Q=x^2 (y^3 -xy^2)+(-y+x+1)x^2y^2`
`=x^2y^3 - x^3y^2 -x^2y^3 + x^3y^2 +x^2y^2`
`= (x^2y^3-x^2y^3) + (-x^3y^2 +x^3y^2)+x^2y^2`
`=x^2y^2`
Thay `x=-10;y=-10` vào `Q`, ta được:
`Q=(-10)^2 . (-10)^2`
`=100 . 100`
`=100 00`
Vậy `Q=1000` tại `x=-10;y=-10`
Hãy giúp mọi người biết câu trả lời này thế nào?
Đáp án+Giải thích các bước giải:
a) `P = x(x^2 - y) + y(x - y^2)`
`= x^3 - xy + xy - y^3`
`= x^3 - y^3`
Từ `x = -1/2` và `y = -1/2 => x = y`
Thay vào `P`, ta được:
`P = x^3 - x^3 = 0`
Vậy `P = 0` với `x = -1/2; y = -1/2`
b) `Q = x^2(y^3 - xy^2) + (-y + x + 1)x^2y^2`
`= x^2y^3 - x^3y^2 - x^2y^3 + x^3y^2 + x^2y^2`
`= x^2y^2`
Với `x = -10; y = -10`, ta có:
`Q = (-10)^2 * (-10)^2`
`= 100 * 100`
`= 10000`
Vậy `Q = 10000` với `x = -10; y = -10`
`\ttcolor{red}{#T2}`
Hãy giúp mọi người biết câu trả lời này thế nào?
Bảng tin
2181
3290
1724
k cần vt gtbt, chỉ cần viết P = 0 hc Q = 1000 tại / khi x = ?, y = ? thôi
2469
2976
2339
dc chua a
2181
3290
1724
:))
2181
3290
1724
ê t out nhóm tí nhé
2469
2976
2339
m thich lm gi m lm
2181
3290
1724
:0
2469
2976
2339
`a)P= (-1/2)^3 +(1/2)^3` `= -1/8 + 1/8` `=0`