

Hãy luôn nhớ cảm ơn và vote 5*
nếu câu trả lời hữu ích nhé!
Đáp án+Giải thích các bước giải:
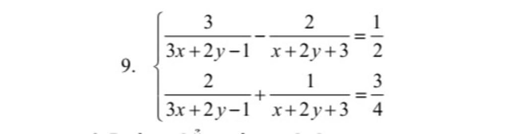
`{(3/(3x + 2y - 1) - 2/(x + 2y + 3) = 1/2),(2/(3x + 2y - 1) + 1/(x + 2y + 3) = 3/4):}`
ĐK: `3x + 2y ne 1; x + 2y ne -3`
Đặt `a = 1/(3x + 2y - 1); b = 1/(x + 2y +3)`
Thay vào hệ phương trình, ta được:
`{(3a - 2b = 1/2),(2a + b = 3/4):}`
`<=> {(3a - 2b = 1/2),(4a + 2b = 3/2):}`
`<=> {(7a = 2),(4a + 2b = 3/2):}`
`<=> {(a = 2/7),(4 * 2/7 + 2b = 3/2):}`
`<=> {(a = 2/7),(b = 5/28):}`
`<=> {(1/(3x + 2y - 1) = 2/7),(1/(x + 2y + 3) = 5/28):}`
`<=> {(3x + 2y - 1 = 7/2),(x + 2y + 3 = 28/5):}`
`<=> {(3x + 2y = 9/2),(x + 2y = 13/5):}`
`<=> {(2x = 19/10),(x + 2y =13/5):}`
`<=> {(x = 19/20),(19/20 + 2y = 13/5):}`
`<=> {(x = 19/20),(y = 33/40):}`
Vậy `(x;y) = (19/20; 33/40)`
`\ttcolor{red}{#T2}`
Hãy giúp mọi người biết câu trả lời này thế nào?
![]()
`ĐKXĐ` `:` `3x+2y` `ne 1` `;` `x+2y` `ne -3`
`@` đặt `1/(3x+2y-1)`thành `a`
`@` đặt `1/(x+2y+3)` thành `b`
`=>` ta có hệ phương trình mới
$\left \{ {{3a-2b=\frac{1}{2}} \atop {2a+b=\frac{3}{4}}} \right.$
`->` $\left \{ {{b=\frac{3a-0,5}{2}} \atop {2a+\frac{3a-0,5}{2}=0,75}} \right.$
`->`$\left \{ {{b=\frac{3a-0,5}{2}} \atop {\frac{4a+3a-0,5}{2}= 0,75}} \right.$
`->`$\left \{ {{b=\frac{3a-0,5}{2}} \atop {\frac{7a-0,5}{2}= 0,75}} \right.$
`->` $\left \{ {{b=\frac{3a-0,5}{2}} \atop {3,5a-0,25= 0,75}} \right.$
`->` $\left \{ {{b=\frac{3a-0,5}{2}} \atop {a= \frac{2}{7}}} \right.$
`->`$\left \{ {{b=\frac{5}{28}} \atop {a= \frac{2}{7}}} \right.$
`@` mà `a=1/(3x+2y-1)`
`**` `2/7` `=` `1/(3x+2y-1)`
`->` `7/2` `=` `3x+2y-1`
`@` `b=1/(x+2y+3)`
`**` `5/28` `=` `1/(x+2y+3)`
`->` `28/5` `=` `x+2y+3`
`->`$\left \{ {{3x+2y-1=\frac{7}{2}} \atop {x+2y+3=\frac{28}{5}}} \right.$
`->` $\left \{ {{x=\frac{19}{20}} \atop {y=\frac{7}{20}}} \right.$
`=>` vậy `(x;y)` `=` `(\frac{19}{20};\frac{33}{40})`
Hãy giúp mọi người biết câu trả lời này thế nào?
![]()
Bảng tin
5924
112853
4666
Tìm đc x;y thử lại thỏa mãn hay ko bạn