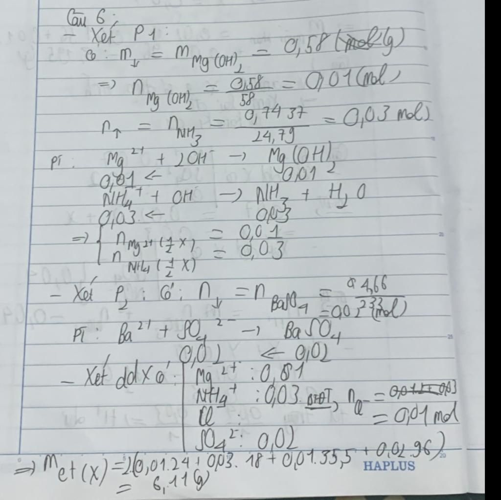
Câu 6. Dung dịch X chứa các ion Mg2+; SO2; NH, và Cl-. Chia dung dịch E thành 2 phần bằng nhau:
Phần 1 tác dụng với dung dịch NaOH dư, đun nóng, được 0,58 gam kết tủa và 0,7437 lít khí (đkc).
Phần 2 tác dụng với dung dịch BaCl dư thu được 4,66 gam kết tủa. Tổng khối lượng các chất tan
...
Xem thêm