

giúp em với ạ em cảm ơn
Hãy luôn nhớ cảm ơn và vote 5*
nếu câu trả lời hữu ích nhé!
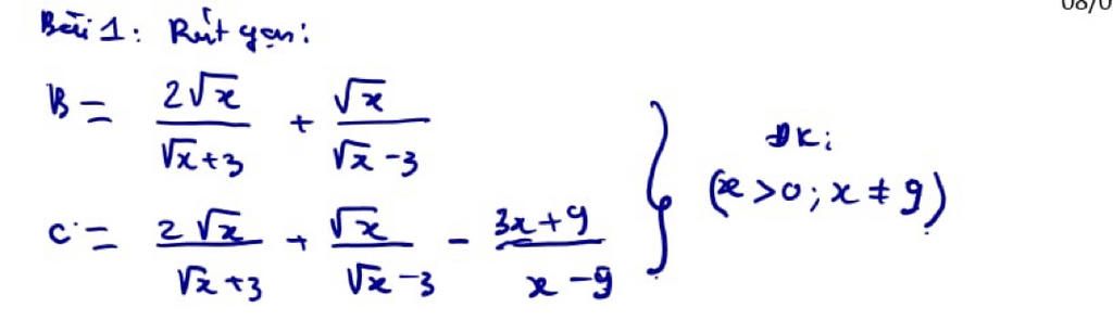
`B = (2 sqrtx)/(sqrtx + 3) + (sqrtx)/(sqrtx - 3)` `(x >= 0; x ne 9)`
`= (2 sqrtx (sqrtx - 3))/((sqrtx + 3)(sqrtx - 3)) + (sqrtx(sqrtx + 3))/((sqrtx - 3)(sqrtx + 3))`
`= (2x - 6 sqrtx + x + 3 sqrtx)/((sqrtx - 3)(sqrtx + 3))`
`= (x - 3 sqrtx)/((sqrtx - 3)(sqrtx + 3))`
`= (sqrtx(sqrtx - 3))/((sqrtx - 3)(sqrtx + 3))`
`= (sqrtx)/(sqrtx + 3)`
Vậy `B = (sqrtx)/(sqrtx + 3)` với `x >= 0; x ne 9`
`----------`
`C = (2 sqrtx)/(sqrtx + 3) + (sqrtx)/(sqrtx - 3) - (3x + 9)/(x - 9)` `(x >= 0; x ne 9)`
`= (2 sqrtx (sqrtx - 3))/((sqrtx + 3)(sqrtx - 3)) + (sqrtx (sqrtx + 3))/((sqrtx - 3)(sqrtx + 3)) - (3x + 9)/((sqrtx - 3)(sqrtx + 3))`
`= (2x - 6 sqrtx + x + 3 sqrtx - 3x - 9)/((sqrtx - 3)(sqrtx + 3))`
`= (-3 sqrtx - 9)/((sqrtx - 3)(sqrtx + 3))`
`= (-3 (sqrtx + 3))/((sqrtx - 3)(sqrtx + 3))`
`= (-3)/(sqrtx-3)`
Vậy `C = (-3)/(sqrtx-3)` với `x >= 0; x ne 9`
Hãy giúp mọi người biết câu trả lời này thế nào?
Bảng tin
8762
6578
5502
ừa cấm nói nhé :vv
2243
1547
1234
à okkk:>
2243
1547
1234
set cả avt vs acc8=)))
2243
1547
1234
ctay zữ:)))
8762
6578
5502
?!
2243
1547
1234
thế ctay chx hỏi lần cuối nè t thấy drama ghê quá.
8762
6578
5502
Ừm tụi t ct r
2243
1547
1234
.....