

Bài 1: viết các biểu thức sau dưới dạng bình phương của một tổng một hiểu
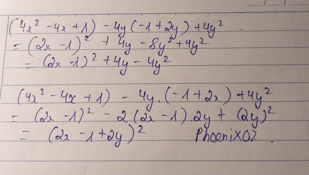
c,(4x^2-4x+1)-4y(-1+2y)+4y^2
giúp mình với , đang cần gấp
Hãy luôn nhớ cảm ơn và vote 5*
nếu câu trả lời hữu ích nhé!
c) `(4x^2 - 4x + 1) - 4y(-1 + 2x) + 4y^2`
`= (2x - 1)^2 - 2 * (2x - 1) * 2y + (2y)^2`
`= (2x - 1 - 2y)^2`
`\ttcolor{cyan}{#PUyen}`
Hãy giúp mọi người biết câu trả lời này thế nào?
![]()
Bảng tin