

Hãy luôn nhớ cảm ơn và vote 5*
nếu câu trả lời hữu ích nhé!
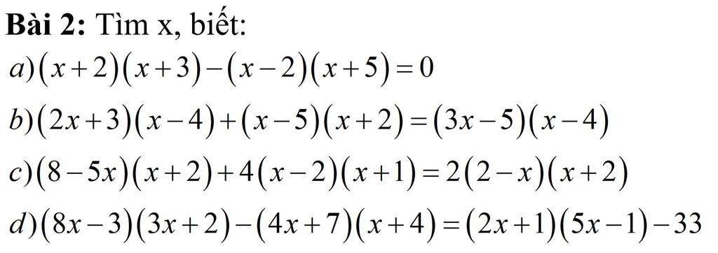
Bài `2:`
`a)(x+2)(x+3)-(x-2)(x+5)=0`
`⇔x^2+3x+2x+6-x^2-5x+2x+10=0`
`⇔2x=-16`
`⇔x=-8`
Vậy `S={-8}`
`b)(2x+3)(x-4)+(x-5)(x+2)=(3x-5)(x-4)`
`⇔2x^2-8x+3x-12+x^2-5x+2x-10=3x^2-12x-5x+20`
`⇔9x=42`
`⇔x=14/3`
Vậy `S={14/3}`
`c)(8-5x)(x+2)+4(x-2)(x+1)=2(2-x)(x+2)`
`⇔8x+16-5x^2-10x+4x^2+4x-8x-8=4x+8-2x^2-4x`
`⇔x^2-6x=0`
`⇔x(x-6)=0`
`⇔x=0` hay `x-6=0`
`⇔x=0` hay `x=6`
Vậy `S={0;6}`
`d)(8x-3)(3x+2)-(4x+7)(x+4)=(2x+1)(5x-1)-33`
`⇔24x^2+16x-9x-6-4x^2-16x-7x-28=10x^2-2x+5x-1-33`
`⇔-10x^2-19x=0`
`⇔-x(10x-19)=0`
`⇔x=0` hay `10x-19=0`
`⇔x=0` hay `x=19/10`
Vậy `S={0;19/10}`
Hãy giúp mọi người biết câu trả lời này thế nào?

Đáp án+Giải thích các bước giải:
$a) (x+2)(x+3) - (x-2)(x+5) = 0$
$⇔ x^2 + 5x + 6 - (x^2 + 3x - 10) = 0$
$⇔ x^2 - x^2 + 5x - 3x + 6 - 10=0$
$⇔ 2x - 4 = 0$
$⇔ x = 2$
Vậy $x=2$
________________________________________
$b) (2x+3)(x-4) + (x-5)(x+2) = (3x-5)(x-4)$
$⇔ (2x-3)(x-4) - (3x-5)(x-4) + (x-5)(x+2) = 0$
$⇔ (x-4)(2x-3-3x+5) + (x-5)(x+2)=0$
$⇔ (x-4)(2-x) + x^2 -3x - 10 = 0$
$⇔ -x^2 +6x - 8 +x^2 - 3x - 10 = 0$
$⇔ 3x - 18 = 0$
$⇔ x=6$
Vậy $x=6$
_________________________________________________
$c) (8-5x)(x+2) +4(x-2)(x+1) = 2(2-x)(x+2)$
$⇔ -5x^2 - 2x + 16 + 4(x^2 - x -2) = 2(-x^2 +4)$
$⇔ -5x^2-2x+16 + 4x^2 - 4x - 8 = -2x^2 + 8$
$⇔ -x^2 -6x+8+2x^2-8=0$
$⇔ x^2 - 6x = 0$
$⇔ x(x-6)=0$
$⇔$ \(\left[ \begin{array}{l}x=0\\x=6\end{array} \right.\)
Vậy $x ∈ ${$0;6$}
_______________________________________________
$d) (8x-3)(3x+2) - (4x+7)(x+4) = (2x+1)(5x-1) - 33$
$⇔ 24x^2 + 7x - 6 - (4x^2 +23x + 28) = 10x^2 +3x - 1 - 33$
$⇔ 24x^2 + 7x - 6 - 4x^2 -23x - 28= 10x^2 +3x - 34$
$⇔ 20x^2 -16x - 34 = 10x^2 +3x - 34$
$⇔ 20x^2 -16x - 34 - 10x^2 -3x + 34=0$
$⇔ 10x^2 -19x =0$
$⇔ x(10x - 19) = 0$
$⇔$ \(\left[ \begin{array}{l}x=0\\x=\frac{19}{10}\end{array} \right.\)
Vậy $x ∈$ {$0;\frac{19}{10}$}
Hãy giúp mọi người biết câu trả lời này thế nào?
Bảng tin