Tham Gia Group Dành Cho Lớp 9 - Ôn Thi Vào Lớp 10 Miễn Phí
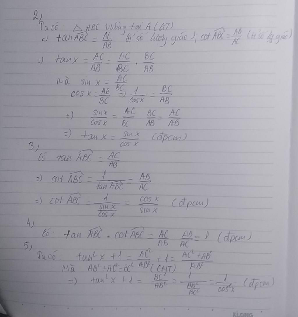
Bài 9: Cho tam giác ABC vuông tại A. Đặt ABC = x với 0 < x < 90° . Chứng minh:
1) sin² x + cos²x=1;
4) tanx-cotx=1:
sin x
2) tan x =
3) cotx =
COSX
COSX
sin x
5)
1
cos2
=1+tan²x;
1
6)
=1+ cot² x.
sin x
4202
2963
3360
._.
10609
674
8451
`8` câu nữa mà lười quá
10609
674
8451
T đi xem phim đã