

Hãy luôn nhớ cảm ơn và vote 5*
nếu câu trả lời hữu ích nhé!
Đáp án:
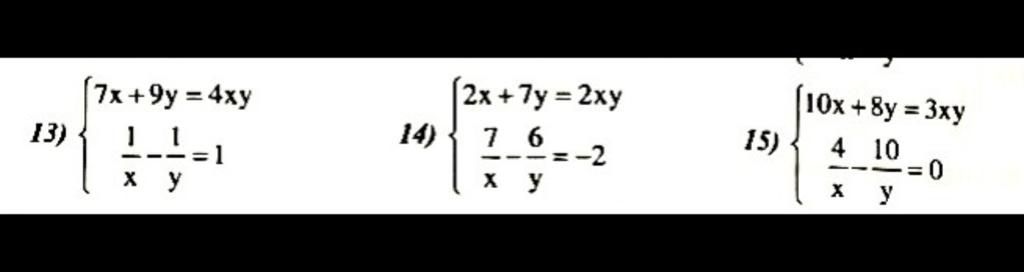
`13) {(7x + 9y = 4xy),(1/x - 1/y = 1):}`
ĐK : `x \ne 0 ; y \ne 0`
`=> {((7x+9y)/(xy) = 4),(1/x - 1/y = 1):}`
`=> {(7/y + 9/x = 4),(1/x - 1/y = 1):}`
Đặt `1/x = a ; 1/y = b` khi đó hệ phương trình trở thành:
`{(9a + 7b = 4),(a - b = 1):}`
`<=> {(9a + 7b = 4),(7a - 7b = 7):}`
`<=> {(16a = 11),(a - b = 1):}`
`<=> {(a = 11/16),(11/16 - b = 1):}`
`<=> {(a = 11/16),(b = -5/16):}`
`=> {( 1/x = 11/16),(1/y = -5/16):}`
`=> {(x =16/11),(y=-16/5):}` (thỏa mãn)
Vậy hệ phương trình có nghiệm duy nhất `(x ; y) = (16/11 ; -16/5)`
`14) {(2x + 7y = 2xy),(7/x - 6/y = -2):}`
ĐK : `x \ne 0 ; y \ne 0`
`<=> {( (2x + 7y)/(xy) = 2),(7/x - 6/y = -2):}`
`<=> {( 2/y + 7/x = 2),(7/x - 6/y = -2):}`
Đặt `7/x = a; 2/y = b` khi đó hệ phương trình trở thành:
`{(a + b= 2),(a - 3b = -2):}`
`<=> {(4b = 4),(a + b = 2):}`
`<=> {(b = 1),(a = 1):}`
`=> {(7/x = 1),(2/y = 1):}`
`=> {(x = 7),(y= 2):}` (thỏa mãn)
Vậy hệ phương trình có nghiệm duy nhất `(x ; y) = (7 ; 2)`
`15) {(10x + 8y = 3xy),(4/x - 10/y = 0):}`
ĐK : `x \ne 0 ; y \ne 0`
`=> {( (10x + 8y)/(xy) = 3),(4/x - 10/y = 0):}`
`=> {( 10/y + 8/x = 3),(4/x - 10/y = 0):}`
Đặt `4/x = a ; 10/y = b` khi đó hệ phương trình trở thành:
`{(2a + b = 3),(a - b = 0):}`
`=> {(3a = 3),(a - b = 0):}`
`=> {(a = 1),(b = 1):}`
`=> {(4/x = 1),(10/y = 1):}`
`=> {(x = 4),(y = 10):}` (thỏa mãn)
Vậy hệ phương trình có nghiệm duy nhất `(x ; y) = (4 ; 10)`
Hãy giúp mọi người biết câu trả lời này thế nào?

`13,ĐKXĐ:x ne 0 ; y ne 0`
$\begin{cases} 7x+9y=4xy\\\dfrac{1}{x}-\dfrac{1}{y}=1\end{cases}$
`<=>`$\begin{cases} \dfrac{9}{x}+\dfrac{7}{y}=4\\\dfrac{1}{x}-\dfrac{1}{y}=1\end{cases}$
Đặt `1/x = a ;1/y =b`
Ta có hệ phương trình tương đương:
`{(9a+7b=4),(a-b=1):}`
`<=>{(a=11/16),(b=-5/16):}`
`<=>`$\begin{cases} \dfrac{1}{x}=\dfrac{11}{16}\\\dfrac{1}{y}=\dfrac{-5}{16}\end{cases}$
`<=>`$\begin{cases} x=\dfrac{16}{11}(tm)\\y=\dfrac{-16}{5}(tm)\end{cases}$
Vậy hệ phương trình có nghiệm duy nhất `(x;y)=(16/11;-16/5)`
`14,ĐKXĐ:x ne 0 ; y ne 0`
$\begin{cases} 2x+7y=2xy\\\dfrac{7}{x}-\dfrac{6}{y}=-2\end{cases}$
`<=>`$\begin{cases} \dfrac{7}{x}+\dfrac{2}{y}=2\\\dfrac{7}{x}-\dfrac{6}{y}=-2\end{cases}$
Đặt `1/x = a ;1/y =b`
Ta có hệ phương trình tương đương:
`{(7a+2b=2),(7a-6b=-2):}`
`<=>{(8b=4),(7a+2b=2):}`
`<=>{(b= 1/2),(7a + 2. 1/2 =2):}`
`<=>{(a=1/7),(b=1/2):}`
`<=>`$\begin{cases} \dfrac{1}{x}=\dfrac{1}{7}\\\dfrac{1}{y}=2\end{cases}$
`<=>{(x=7(tm)),(y=2(tm)):}`
Vậy hệ phương trình có nghiệm duy nhất `(x;y)=(7;2)`
`15,ĐKXĐ:x ne 0 ; y ne 0`
$\begin{cases} 10x+8y=3xy\\\dfrac{4}{x}-\dfrac{10}{y}=0\end{cases}$
`<=>`$\begin{cases} \dfrac{8}{x}+\dfrac{10}{y}=3\\\dfrac{4}{x}-\dfrac{10}{y}=0\end{cases}$
Đặt `1/x = a ;1/y =b`
Ta có hệ phương trình tương đương:
`{(8a+10b=3),(4a-10b=0):}`
`<=>{(12a=3),(2a-5b=0):}`
`<=>{(a=1/4),(2. 1/4-5b=0):}`
`<=>{(a=1/4),(b=1/10):}`
`<=>`$\begin{cases} \dfrac{1}{x}=\dfrac{1}{4}\\\dfrac{1}{y}=\dfrac{1}{10}\end{cases}$
`<=>{(x=4(tm)),(y=10(tm)):}`
Vậy hệ phương trình có nghiệm duy nhất `(x;y)=(4;10)`
Hãy giúp mọi người biết câu trả lời này thế nào?
Bảng tin
5
391
1
cảm ơn ạ