

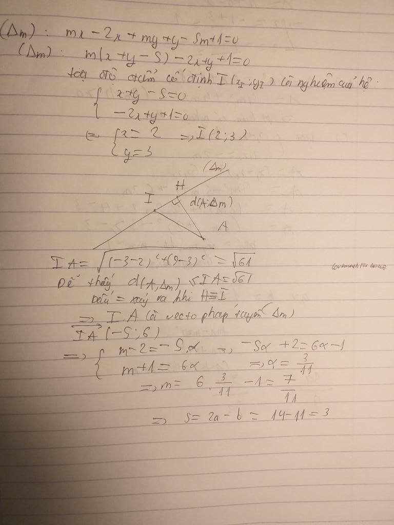
Cho đường thẳng `(Delta)_m: (m-2)x + (m+1)y-5m+1=0` với `m` là tham số, và điểm `A(-3;9)`. Giả sử `m = a/b` (Phân số tối giản) để khoảng cách từ `A` đến đường thẳng `(Delta)_m` là lớn nhất. Tính `S = 2a-b`
Hãy luôn nhớ cảm ơn và vote 5*
nếu câu trả lời hữu ích nhé!
Đây là câu trả lời đã được xác thực
Câu trả lời được xác thực chứa thông tin chính xác và đáng tin cậy, được xác nhận hoặc trả lời bởi các chuyên gia, giáo viên hàng đầu của chúng tôi.
Giải thích các bước giải:
Hãy giúp mọi người biết câu trả lời này thế nào?

Đáp án:
`(\Delta)_{m}`
Gọi `M(x_{0} ; y_{0})` là điểm cố định trên `(\Delta)_{m}`
`=> (m - 2)x_{0} + (m + 1)y_{0} - 5m + 1 = 0`
`=> m(x_{0} + y_{0} - 5) - 2x_{0} + y_{0} + 1 = 0`
`=> {(x_{0} + y_{0} - 5=0),(-2x_{0} + y_{0} + 1 = 0):}`
`=> {(x_{0}=2),(y_{0} = 3):}`
`=> M(2;3)`
`vec{AM} (5 ; -6)`
Mà `d(A;\Delta_{m}) \le AM`
Dấu "=" xảy ra khi : `AM bot (\Delta_{m})`
`=> vec{AM} . vec{\Delta_{m}) = 0`
`=> (5 ; -6) . (-m - 1 ; m - 2) = 0`
`=> 5(-m - 1) - 6(m - 2) = 0`
`=> -5m - 5 - 6m + 12 = 0`
`=> -11m + 7 = 0`
`=> m = 7/11`
`=> a = 7 ; b = 11`
`=> S = 2a -b = 3`
Hãy giúp mọi người biết câu trả lời này thế nào?

Bảng tin
2710
2188
4224
Bạn ơi, sao bạn lập được cái hệ phương trình đó được vậy ạ?
8987
707
7205
Thì cái m-2 ; m+1 là vec pháp tuyến của delta m
8987
707
7205
Mà cái -5;6 là 1 vec pháp tuyến của delta m nên m-2=-5 .a , m+1=6a
8987
707
7205
Do (-5a;6a) cũng là vec pháp tuyến của delta m