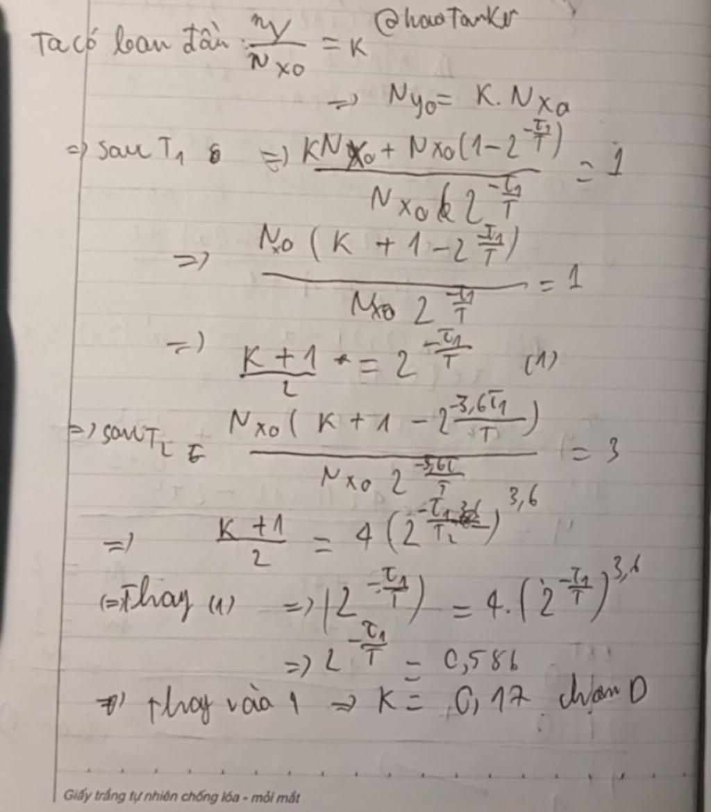
Câu 36. Hạt nhân X là chất phóng xạ phân rã tạo thành
trong đó chứa cả hạt nhân X và
hạt nhân
viên. Ban
đầu
hạt
nhân
Y.
Biệt
hạt
nhân
Y
sinh
ra được giữ lại
hoàn
điểm
Tại thời điểm t, tỉ số
t=160, tỉ số
giữa số
hạt
nhân Y
trong
máu
và
số
hạt
nhân
X còn
lại
trong
(1-0), có một mẫu
toàn ...
Xem thêm