Đăng nhập để hỏi chi tiết


Hãy luôn nhớ cảm ơn và vote 5*
nếu câu trả lời hữu ích nhé!

Đáp án:
\(v = \omega r\)
Giải thích các bước giải:
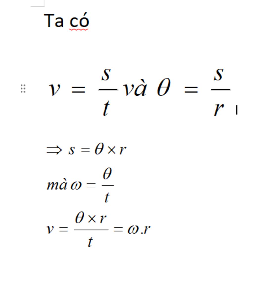
Ta có:
\(\begin{array}{l}
\phi = \dfrac{s}{r} \Rightarrow \omega .t = \dfrac{s}{r} \Rightarrow t = \dfrac{s}{{\omega r}}\\
v = \dfrac{s}{t} = \dfrac{s}{{\dfrac{s}{{\omega r}}}} = \omega r
\end{array}\)
Hãy giúp mọi người biết câu trả lời này thế nào?
Bảng tin
