

Hãy luôn nhớ cảm ơn và vote 5*
nếu câu trả lời hữu ích nhé!
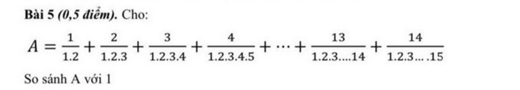
Ta có: `A = 1/(1.2) + 2/(1.2.3) + 3/(1.2.3.4) + 4/(1.2.3.4.5) + ... + 13/(1.2.3.....14) + 14/(1.2.3.4.....15)`
`A = 1/1 - 1/2 + 1/(1.2) - 1/(2.3) + 1/(1.2.3) - 1/(2.3.4) + 1/(1.2.3.4) - 1/(2.3.4.5) + ... + 1/(1.2.3.....13) - 1/(2.3.4.....14) + 1/(1.2.3.4....14) - 1/(2.3.4.5.....15)`
`A = 1 - 1/(2.3.4.5.....15) < 1`
Vậy, `A < 1`
Hãy giúp mọi người biết câu trả lời này thế nào?
`A=1/(1·2)+2/(1·2·3)+3/(1·2·3·4)+4/(1·2·3·4·5)+....+13/(1·2·3····14)+14/(1·2·3······15)`
`A=1/1-1/2+1/(1·2)-1/(2·3)+1/(1·2·3)-1/(2·3·4)+1/(2·3·4·5)-1/(2·3·4·5)+.........+1/(1·2·3····13)-1/(2·3····14) - 1/(1·2·3····14)+1/(2·3····15)`
`A=1-1/(2·3····15)<1`
`⇒ A<1`
Vậy `A<1`
Hãy giúp mọi người biết câu trả lời này thế nào?
Bảng tin
3682
1381
2437
thật lòng xin lỗi cậu
3682
1381
2437
tại nhóm t đang đoàn mà gần hết h
3682
1381
2437
nên phải bám
3579
378
1749
Không sao ạ
3682
1381
2437
vâng