Đăng nhập để hỏi chi tiết


Hãy luôn nhớ cảm ơn và vote 5*
nếu câu trả lời hữu ích nhé!
Đáp án:
Giải thích các bước giải:
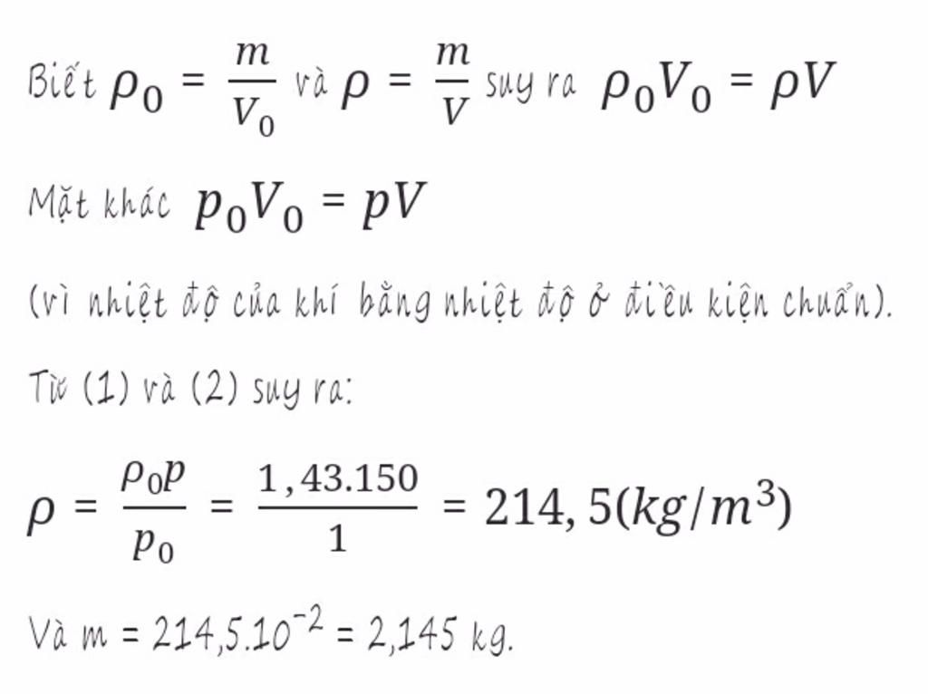
Gửi bạn ạ.
Hãy giúp mọi người biết câu trả lời này thế nào?
![]()
Đáp án:
Bn có thể cho mik 5* và ctlhn đv ko nek
Chúc bn hc tốt
Giải thích các bước giải:
Hãy giúp mọi người biết câu trả lời này thế nào?
![]()
Bảng tin
0
39
0
Cho mình hỏi là cr bằng 0 độ c ạh
88
694
61
Bạn có thể lặp lại câu hỏi không... Mình ko hiểu cr là gì á. 😅
0
39
0
Dòng thứ hai ý cái Gì bằng 0 độ c ạ😆
88
694
61
Ahhhh. T1 á. Ghi chữ xấu quá nó thành vậy luôn.... 😅