

Hãy luôn nhớ cảm ơn và vote 5*
nếu câu trả lời hữu ích nhé!

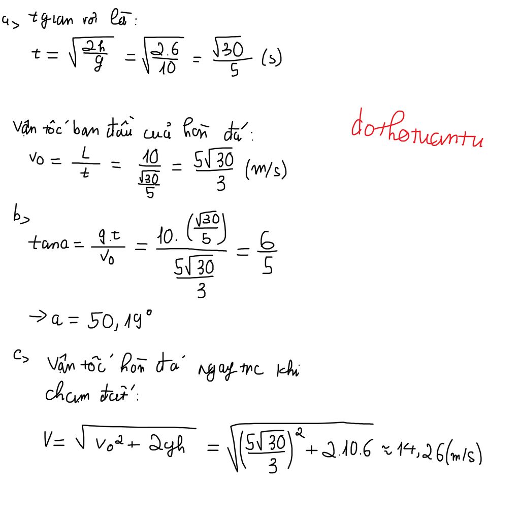
Đáp án:
a) \(\dfrac{{5\sqrt {30} }}{3}\left( {m/s} \right)\)
b) \(50,{19^o}\)
c) \(14,26\left( {m/s} \right)\)
Giải thích các bước giải:
a) Thời gian rơi là:
\(t = \sqrt {\dfrac{{2h}}{g}} = \sqrt {\dfrac{{2.6}}{{10}}} = \dfrac{{\sqrt {30} }}{5}\left( s \right)\)
Vận tốc ban đầu là:
\({v_0} = \dfrac{s}{t} = \dfrac{{10}}{{\dfrac{{\sqrt {30} }}{5}}} = \dfrac{{5\sqrt {30} }}{3}\left( {m/s} \right)\)
b) Ta có:
\(\tan \alpha = \dfrac{{gt}}{{{v_0}}} = \dfrac{{10.\dfrac{{\sqrt {30} }}{5}}}{{\dfrac{{5\sqrt {30} }}{3}}} = \dfrac{6}{5} \Rightarrow \alpha = 50,{19^o}\)
c) Vận tốc của hòn đá ngay trước khi chạm đất là:
\(v = \sqrt {v_0^2 + {{\left( {gt} \right)}^2}} = \sqrt {{{\left( {\dfrac{{5\sqrt {30} }}{3}} \right)}^2} + {{\left( {10.\dfrac{{\sqrt {30} }}{5}} \right)}^2}} = 14,26\left( {m/s} \right)\)
Hãy giúp mọi người biết câu trả lời này thế nào?
Bảng tin
378
52
657
ơi xuống đất cách xa điểm ném khoảng cách s = 10m
1590
573
1814
...
4252
78154
5043
không biết thì đừng có nói, nếu đề không cho g = bn thì lấy g=10
378
52
657
k hiểu thì hỏi thôi ,thấy thắc mắc chỗ nào thì kêu lên ,để lần sau gặp dạng này thì rút kinh nghiệm Sao lại ko được nói ( Tật 😁)
378
52
657
Đêm mà gặp toàn thể loại 😁
1590
573
1814
.-.
1590
573
1814
thể loại ?
378
52
657
Tui có nói bạn đâu -.- (Tui ko biết thì hỏi ,thắc mắc mà cái bạn kia kêu tui ko biết đừng có nói =_=)