

Hãy luôn nhớ cảm ơn và vote 5*
nếu câu trả lời hữu ích nhé!
Ta có: `u_n=2u_(n-1)+n^2-n-3 \ forall \ n in NN; n >= 2`
`<=>` `u_n+n^2+3n=2u_(n-1)+2n^2+2n-3`
`<=>` `u_n+n^2+3n=2u_(n-1)+2(n-1)^2+6(n-1)+1`
`<=>` `u_n+n^2+3n=2[u_(n-1)+(n-1)^2+3(n-1)]+1`
Đặt `v_n=u_n+n^2+3n`
`=>` `{(v_1=7),(v_n=2v_(n-1)+1 \ forall \ n in NN; n >= 2):}`
Ta có: `v_n=2v_(n-1)+1 \ forall \ n in NN; n >= 2`
`<=>` `v_n+1=2v_(n-1)+2`
`<=>` `v_n+1=2(v_(n-1)+1)`
Đặt `w_n=v_n+1`
`=>` `{(w_1=8),(w_n=2w_(n-1) \ forall \ n in NN; n >= 2):}`
`=>` `w_n=8*2^(n-1) \ forall \ n in NN^**`
`=>` `w_n=2^(n+2) \ forall \ n in NN^**`
`=>` `v_n=2^(n+2)-1 \ forall \ n in NN^**`
`=>` `u_n+n^2+3n=2^(n+2)-1 \ forall \ n in NN^**`
`=>` `u_n=2^(n+2)-1-n^2-3n \ forall \ n in NN^**`
Ta có: `S_20=u_1+u_2+...+u_20`
`=2^3-1-1^2-3+2^4-1-2^2-3*2+...+2^22-1-20^2-3*20`
`=(2^3+...+2^22)-20-(1^2+2^2+...+20^2)-3*(1+2+...+20)`
`=2^23-8-20-(20*21*41)/6-3*(20*21)/2`
`=8385080`
`=>` Chọn `B`
Hãy giúp mọi người biết câu trả lời này thế nào?
Bảng tin
0
20
0
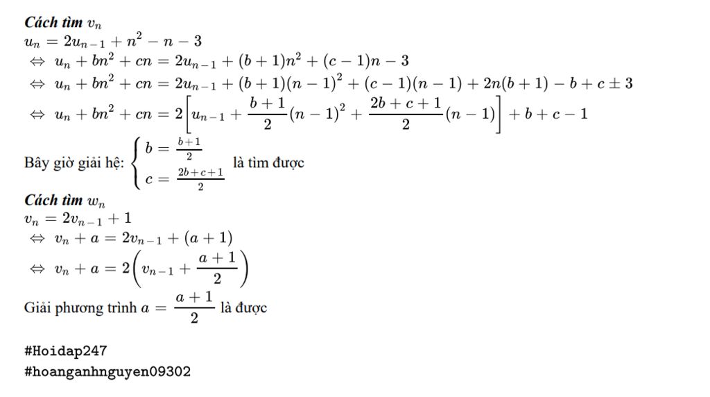
Bạn ơi! Chỗ phần cách tìm vn, wn là sao vậy ạ, tìm những gì vậy bạn
0
20
0
Chỗ cách tìm ở hình ảnh là áp dụng cho phần nào ở bài làm vậy ạ bạn
0
20
0
Bạn ơi!
9058
97647
5315
Để giải thích tại sao lại đặt `v_n=u_n+n^2+3n` và `w_n=v_n+1` đồng thời giải thích tại sao lại có cách thêm bớt vào hai vế như vậy
0
20
0
Bạn giúp mình câu này nhá bạn! Mình đi học mấy dạng chứ cái này mình kém quá ạ! https://hoidap247.com/cau-hoi/6496914
0
20
0
Bạn chỉ mk bước làm luôn nhá!