Vui lòng chỉ chọn một câu hỏi
Hoidap247.com Nhanh chóng, chính xác
+
Danh mục mới
1
334
0
Hãy luôn nhớ cảm ơn và vote 5* nếu câu trả lời hữu ích nhé!
16
1279
5
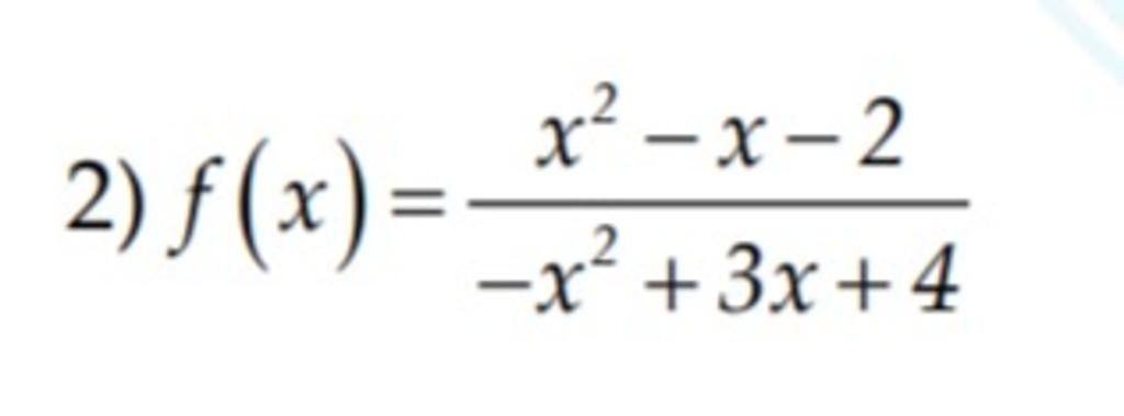
X² - x - 2 = -( x - 2 )/( x - 4)
F(x)0 và x-4>0 hoặc x-20 và x-4
Hãy giúp mọi người biết câu trả lời này thế nào?
X² - x - 2 = -( x - 2 )/( x - 4) F(x)<0<=>x-2>0 và x-4>0 hoặc x-2<0 hoặc x-4<0 <=> X>4 hoặc x<2 F(x)>0<=>x-2>0 và x-4<0 hoặc x-2<0 và x-4>0 <=> 4<X<2 (vô lí - loại ) hoặc 2<x<4
Bảng tin
Gửi yêu cầu Hủy
16
1279
5
X² - x - 2 = -( x - 2 )/( x - 4) F(x)<0<=>x-2>0 và x-4>0 hoặc x-2<0 hoặc x-4<0 <=> X>4 hoặc x<2 F(x)>0<=>x-2>0 và x-4<0 hoặc x-2<0 và x-4>0 <=> 4<X<2 (vô lí - loại ) hoặc 2<x<4