Vui lòng chỉ chọn một câu hỏi
Hoidap247.com Nhanh chóng, chính xác
+
Danh mục mới
100
2040
54
Hãy luôn nhớ cảm ơn và vote 5* nếu câu trả lời hữu ích nhé!
1297
2286
1252
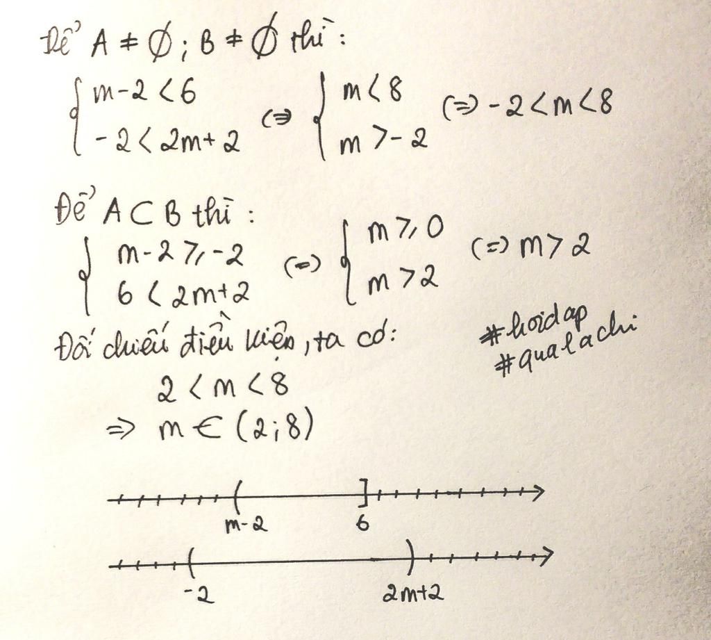
Đáp án`+`Giải thích các bước giải:
Hãy giúp mọi người biết câu trả lời này thế nào?
10057
439
7372
.
135
156
138
cho tớ xin vào nhóm bn được ko ak
2695
378
1925
xin vào nhóm ạ =))
Gửi
7399
3328
6527
cho tớ xin vào nhóm bn được ko ak -> để tớ thành toàn cho pạn nkaaa
=))
cừi cái j hở a
Bảng tin
Gửi yêu cầu Hủy