

Hãy luôn nhớ cảm ơn và vote 5*
nếu câu trả lời hữu ích nhé!
Đáp án`+`Giải thích các bước giải:
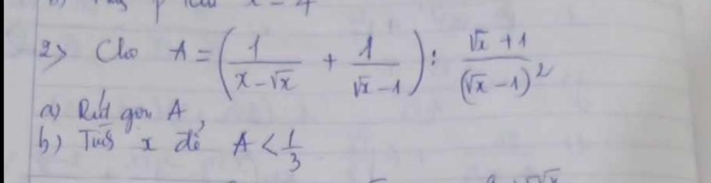
`a,` Với `x > 0,x \ne 1` thì
Ta có: `A= (1/(x - \sqrt{x}) + 1/(\sqrt{x} - 1)): (\sqrt{x} + 1)/((\sqrt{x} - 1)^2)`
`=> A= (1 + \sqrt{x})/(\sqrt{x} (\sqrt{x} - 1)) . ((\sqrt{x} -1)^2)/(\sqrt{x} + 1)`
`=> A = (\sqrt{x} -1)/(\sqrt{x})`
Vậy `A = (\sqrt{x} - 1)/(\sqrt{x})` với `x > 0,x \ne 1`
`b,` Để `A <1/3` thì
`(\sqrt{x} - 1)/(\sqrt{x}) < 1/3`
`<=> (\sqrt{x} - 1)/(\sqrt{x}) - 1/3 < 0`
`<=> (3(\sqrt{x} -1) - \sqrt{x})/(3\sqrt{x}) < 0`
`<=> (3\sqrt{x} - 3 - \sqrt{x})/(3\sqrt{x}) < 0`
`<=> (2\sqrt{x} - 3)/(3\sqrt{x}) < 0`
`<=> 2\sqrt{x} - 3< 0` (do` 3\sqrt{x} > 0 AAx > 0,x \ne 1`
`<=> \sqrt{x} < 3/2`
`<=> x < 9/4`
Kết hợp với điều kiện ta đc:
`{(0 < x < 9/4),(x \ne 1):}`
vậy `{(0 < x < 9/4),(x \ne 1):}` thì `A <1/3`
`@`duong612009
Hãy giúp mọi người biết câu trả lời này thế nào?
Bảng tin