Đăng nhập để hỏi chi tiết


Hãy luôn nhớ cảm ơn và vote 5*
nếu câu trả lời hữu ích nhé!
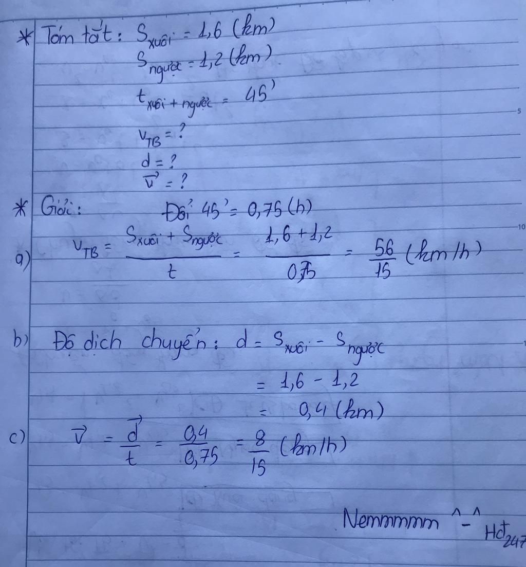
`S_x=1,6km`; `S_n=1,2km`
`t=45ph=0,75h`
a.`v_(tb)=S/t=(S_x+S_n)/t=(1,6+1,2)/0,75≈3,73(km)/h`
b.`d=S_x-S_n=1,6-1,2=0,4km`
c.`V_(tb)=d/t=0,4/0,74≈0,53(km)/h`
Hãy giúp mọi người biết câu trả lời này thế nào?
Bảng tin