

Hãy luôn nhớ cảm ơn và vote 5*
nếu câu trả lời hữu ích nhé!
Đáp án:
Giải thích các bước giải:
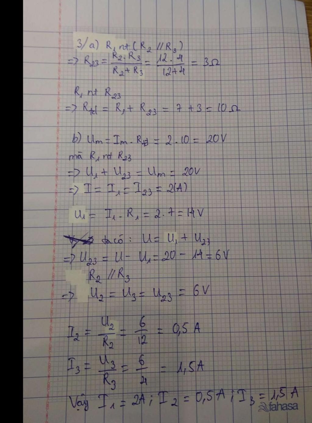
`a)`
Ta có sơ đồ mạch điện`:` `R1` `nt` `(R2` $\parallel$ `R3)`
Vì `R2` $\parallel$ `R3`
`=> 1/(R23) = 1/(R2) + 1/(R3)`
`<=> 1/(R23) = 1/12 + 1/4`
`<=> 1/(R23) = 1/3`
`<=> R23 = 3\Omega`
Vì `R1` `nt` `(R2` $\parallel$ `R3)`
`=> Rtđ = R1 + R23`
`<=> Rtđ = 7 + 3`
`<=> Rtđ = 10\Omega`
`b)`
Vì `R1` `nt` `(R2` $\parallel$ `R3)`
`=> I1 = I23 = Im = 2A`
`=> U1 = R1 . I1 = 7 . 2 = 14 (V)`
Hiệu điện thế của đoạn mạch là`:`
`Um = Im . Rtđ = 2 . 10 = 20 (V)`
Vì `R1` `nt` `(R2` $\parallel$ `R3)`
`=> Um = U1 + U23`
`<=> 20 = 14 + U23`
`<=> U23 = 6 (V)`
Vì `R2` $\parallel$ `R3`
`=> U2 = U3 = U23 = 6V`
`=> I2 = (U2)/(R2) = 6/12 = 0,5V`
`=> I3 = (U3)/(R3) = 6/4 = 1,5V`
`Vậy...`
Hãy giúp mọi người biết câu trả lời này thế nào?
Bảng tin
3271
7160
2796
mik làm kết hợp cả `b` và `c` ạ