Đăng nhập để hỏi chi tiết


Hãy luôn nhớ cảm ơn và vote 5*
nếu câu trả lời hữu ích nhé!
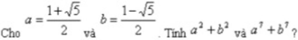
$\text{Ta có: } a + b = \frac{1 + \sqrt{5}}{2} + \frac{1 - \sqrt{5}}{2} = 1, ab =\frac{(1 + \sqrt{5})(1 - \sqrt{5})}{4} = \frac{1 - 5}{4} = -1 \\ \Rightarrow a^2 + b^2 = a^2 + 2ab + b^2 - 2ab = (a + b)^2 - 2ab = 1^2 - 2.(-1) = 3 \\ a^3 + b^3 = (a + b)^3 - 3ab(a + b) = 1^3 - 3.(-1).1 = 4 \\ a^4 + b^4 = (a^2 + b^2)^2 - 2a^2b^2 = 3^2 -2.(-1)^2 = 7 \\ \Rightarrow a^7 + b^7 = (a^3 + b^3)(a^4 + b^4) - a^3b^3(a + b) = 4.7 - (-1)^3.1 = 29$
Hãy giúp mọi người biết câu trả lời này thế nào?

Bảng tin