Đăng nhập để hỏi chi tiết


Hãy luôn nhớ cảm ơn và vote 5*
nếu câu trả lời hữu ích nhé!
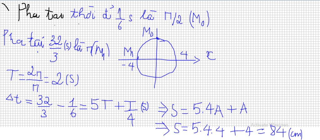
Vật dao động điều hòa với phương trình x = 4cos(πt + π/3) cm có biên độ A = 4 cm và chu kì T = 2s. Khoảng thời gian từ 1/6 đến 32/3 giây là 32/3 - 1/6 = 63/6 giây.
Trong khoảng thời gian này, vật dao động đi được quãng đường là
S = (63/6) / (T/2) x 2A = (63/6) / (2/2) x 2 x 4 = 84 (cm)
#vungocdanthu
học tốt~
Hãy giúp mọi người biết câu trả lời này thế nào?
![]()
Bảng tin
523
9956
1943
cậu ghi thêm username và #hoidap 247 nhé!
254
6401
128
Vâng! Cảm ơn bạn nhắc nhở.