Vui lòng chỉ chọn một câu hỏi
Hoidap247.com Nhanh chóng, chính xác
+
Danh mục mới
0
72
Hãy luôn nhớ cảm ơn và vote 5* nếu câu trả lời hữu ích nhé!
26642
333892
17803
Đáp án:
Giải thích các bước giải:
Hãy giúp mọi người biết câu trả lời này thế nào?
17
664
15
https://hoidap247.com/cau-hoi/5876189
3237
346
4354
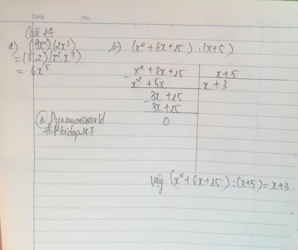
Đáp án + Giải thích các bước giải:
a) (3x^2 ) .(2x^3)
= (3.2).(x^2 . x^3)
= 6 . x^5 = 6x^5
b) (HÌNH)
chưa latex hết mà đã bị bc rồi :')
Bảng tin
Gửi yêu cầu Hủy
17
664
15
https://hoidap247.com/cau-hoi/5876189