

Hãy luôn nhớ cảm ơn và vote 5*
nếu câu trả lời hữu ích nhé!

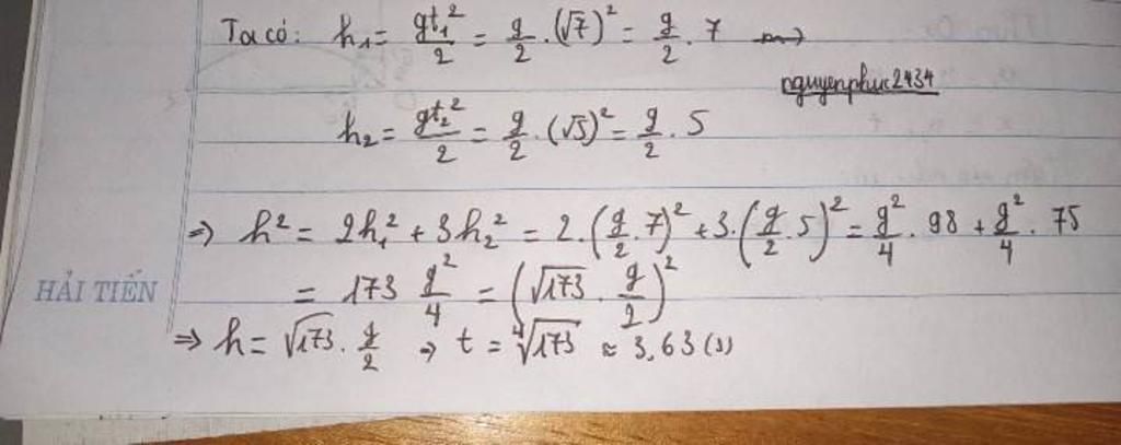
Đáp án:
$t=3,63s$
Giải thích các bước giải:
$\begin{align}
& {{h}_{1}};{{t}_{1}}=\sqrt{7}s; \\
& {{h}_{2}};{{t}_{2}}=\sqrt{5}s \\
& {{h}^{2}}=2h_{1}^{2}+3h_{2}^{2} \\
\end{align}$
độ cao:
$\begin{align}
& {{h}_{1}}=\dfrac{1}{2}.g.t_{1}^{2}=\dfrac{1}{2}.10.{{(\sqrt{7})}^{2}}=35m \\
& {{h}_{2}}=\dfrac{1}{2}g.t_{2}^{2}=\dfrac{1}{2}.10.{{(\sqrt{5})}^{2}}=25m \\
& h=\sqrt{{{2.35}^{2}}+{{3.25}^{2}}}=5\sqrt{173}m \\
& \Rightarrow t=\sqrt{\frac{2h}{g}}=\sqrt{\dfrac{2.5\sqrt{173}}{10}}=3,63s \\
\end{align}$
Hãy giúp mọi người biết câu trả lời này thế nào?
Bảng tin