

Hãy luôn nhớ cảm ơn và vote 5*
nếu câu trả lời hữu ích nhé!
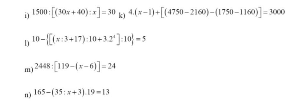
i)` 1500 : [(30x + 40) : x = 30`
` (30x + 40 ) : x = 1500 : 30`
` ( 30x + 40 ) : x = 50`
` 30x:x + 40 : x = 50`
` 30 + 40 : x = 50`
` 40 : x = 50 - 30`
` 40 : x = 20`
` x = 40:20`
` x = 2`
Vậy x = 2
k) `4.(x - 1)+[(4750 - 2160)-(1750-1160)]=3000`
` 4 . ( x - 1) + [2590-590]=3000`
` 4 . ( x - 1 ) + 2000 = 3000`
` 4 . ( x - 1 ) = 3000 - 2000`
` 4 . ( x - 1 ) = 1000`
`( x - 1 ) = 1000 : 4 `
` ( x - 1 ) = 250`
` x = 250 + 1`
` x = 251`
Vậy x = 251
l) `10 - {[( x : 3 + 17 ) : 10 + 3.2^4] : 10 } = 5`
`[(x : 3 + 17 ) : 10 + 3.2^4] : 10 = 10 - 5 = 5`
` ( x : 3 + 17 ) : 10 + 3.2^4 = 5 . 10`
` ( x : 3 + 17 ) : 10 + 48 = 50`
` ( x : 3 + 17 ) : 10 = 50 - 48 = 2`
` x : 3 + 17 = 2 . 10 = 20`
` x : 3 = 20 - 17`
` x : 3 = 3 `
` x = 3 .3 `
` x = 9`
Vậy x = 9
m) `2448 : [119 - ( x - 6 )] = 24`
` 119 - ( x - 6 ) = 2448 : 24 = 102`
` x - 6 = 119 - 102 = 17`
` x = 17 + 6 `
` x = 23`
Vậy x = 23
n) `165 - ( 35 : x + 3).19=13`
` ( 35 : x + 3 ) . 19 = 165 - 13 = 152`
` 35 : x + 3 = 152 : 19 = 8`
` 35 : x = 8 - 3 = 5`
` x = 35 : 5 = 5`
Vậy x = 5
@ POKEMONSUNSMON
Hãy giúp mọi người biết câu trả lời này thế nào?
![]()
`i)1500 : [(30x + 40) : x = 30`
`(30x + 40 ) : x = 1500 : 30`
`( 30x + 40 ) : x = 50`
`30x:x + 40 : x = 50`
`30 + 40 : x = 50`
`40 : x = 50 - 30`
`40 : x = 20`
`x = 40:20`
`x = 2`
Vậy `x = 2`
`k)4.(x - 1)+[(4750 - 2160)-(1750-1160)]=3000`
` 4 . ( x - 1) + [2590-590]=3000`
` 4 . ( x - 1 ) + 2000 = 3000`
` 4 . ( x - 1 ) = 3000 - 2000`
` 4 . ( x - 1 ) = 1000`
`( x - 1 ) = 1000 : 4 `
`( x - 1 ) = 250`
`x = 250 + 1`
`x = 251`
Vậy `x = 251`
`l)10 - {[( x : 3 + 17 ) : 10 + 3.2^4] : 10 } = 5`
`[(x : 3 + 17 ) : 10 + 3.2^4] : 10 = 10 - 5 = 5`
` ( x : 3 + 17 ) : 10 + 3.2^4 = 5 . 10`
` ( x : 3 + 17 ) : 10 + 48 = 50`
` ( x : 3 + 17 ) : 10 = 50 - 48 = 2`
`x : 3 + 17 = 2 . 10`
`x : 3 + 17 = 20`
`x : 3 = 20 - 17`
`x : 3 = 3 `
`x = 3 .3 `
`x = 9`
Vậy `x = 9`
`m)2448 : [119 - ( x - 6 )] = 24`
`119 - ( x - 6 ) = 2448 : 24 = 102`
`x - 6 = 119 - 102 = 17`
`x = 17 + 6 `
`x = 23`
Vậy `x = 23`
`n)165 - ( 35 : x + 3).19=13`
`( 35 : x + 3 ) . 19 = 165 - 13 = 152`
`35 : x + 3 = 152 : 19`
`35 : x + 3 = 8`
`35 : x = 8 - 3`
`35 : x = 5`
`x = 35 : 5`
`x = 5`
Vậy `x = 5`
$#panda$
Hãy giúp mọi người biết câu trả lời này thế nào?
Bảng tin