Một ống thép hình trụ, dài l=20cm, một đầu được bịt bằng một lá thép mỏng có khối lượng không đáng kể (được gọi là đáy ). Tiết diện thẳng của vành ngoài của ống là S1=10cm2, của vành trong là S2=9cm2.
1. Hãy xác định chiều cao phần nổi của ống khi thả ống vào một bể nước sâu cho đáy quay xuống dưới.
2. Giả sử ống đã thả trong bể mà chưa có nước bên trong ống. kéo ống lên cao khỏi vị trí cân bằng rồi thả ống xuống sao cho khi ống đạt độ sâu tối đa thì miệng ống ngang bằng mặt nước. Hỏi đã kéo ống lên một đoạn bằng bao nhiêu? Biết khối lượng riêng của thép và của nước tương ứng là: D1=7800kg/m3, D2=1000kg/m3
Mng giải thích cho em phần bôi vàng tại sao s=0.044+x ạ
Tham Gia Group Dành Cho Lớp 9 - Ôn Thi Vào Lớp 10 Miễn Phí
Mở bằng Google Tài liệu
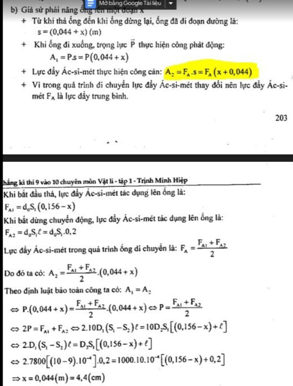
b) Giả sử phải nâng ông lên một đoạn x
+ Từ khi thả ống đến khi ống dừng lại, ống đã đi đoạn đường là:
s=(0,044 + x) (m)
+
Khi ống đi xuống, trọng lực P thực hiện công phát động:
A₁ = P.s=P(0,044+ x)
+ Lực đẩy Ác-si-mét thực hiện công cản: A, =F, .s=Fa (x + 0,04 ...