

Hãy luôn nhớ cảm ơn và vote 5*
nếu câu trả lời hữu ích nhé!
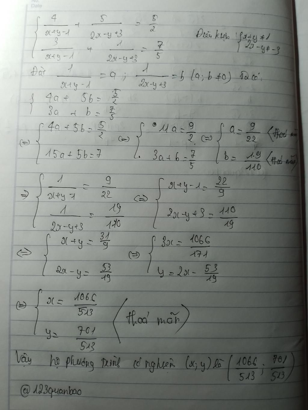
Đáp án:
`{( 4/(x + y - 1) + 5/(2x -y + 3) = 5/2),( 3/(x + y - 1) + 1/(2x - y + 3) = 7/5):} (1)`
Đặt `1/(x + y - 1) = a ; 1/(2x - y + 3) = b (a;b \ne 0)`
Khi đó hệ phương trình `(1)` trở thành:
`{(4a + 5b = 5/2),(3a + b = 7/5):}`
`<=> {(12a + 15b = 15/2),(12a +4b = 28/5):}`
`<=> 12a + 15b - 12a - 4b = 15/2 - 28/5`
`<=> 11b = 19/10`
`<=> b = 19/110` (thỏa mãn)
`<=> a = (7/5 - 19/110) : 3 = 9/22` (thỏa mãn)
Suy ra :
`{(1/(x + y - 1) = 9/22),(1/(2x - y + 3) = 19/110):}`
`<=> {(x + y - 1 = 22/9),(2x - y + 3 = 110/19):}`
`<=> {(2x + 2y - 2 = 44/9),(2x - y + 3 = 110/19):}`
`<=> 2x + 2y - 2 - 2x + y - 3 = 44/9 - 110/19`
`<=> 3y - 5 = -154/171`
`<=> y = 701/513`
`=> x = 22/9 + 1 - 701/513`
`=> x = 1066/513`
Vậy hệ phương trình có nghiệm duy nhất `(x;y) = (1066/513 ;701/513)`
Hãy giúp mọi người biết câu trả lời này thế nào?
Bảng tin
3
1
3
Do bài này số hơi to nên mình cần check kĩ lại th ;)
3
1
3
Cảm ơn bạn nha!
4886
111885
3932
Ko có j